Официальное опубликование правовых актов
ОФИЦИАЛЬНОЕ ОПУБЛИКОВАНИЕ
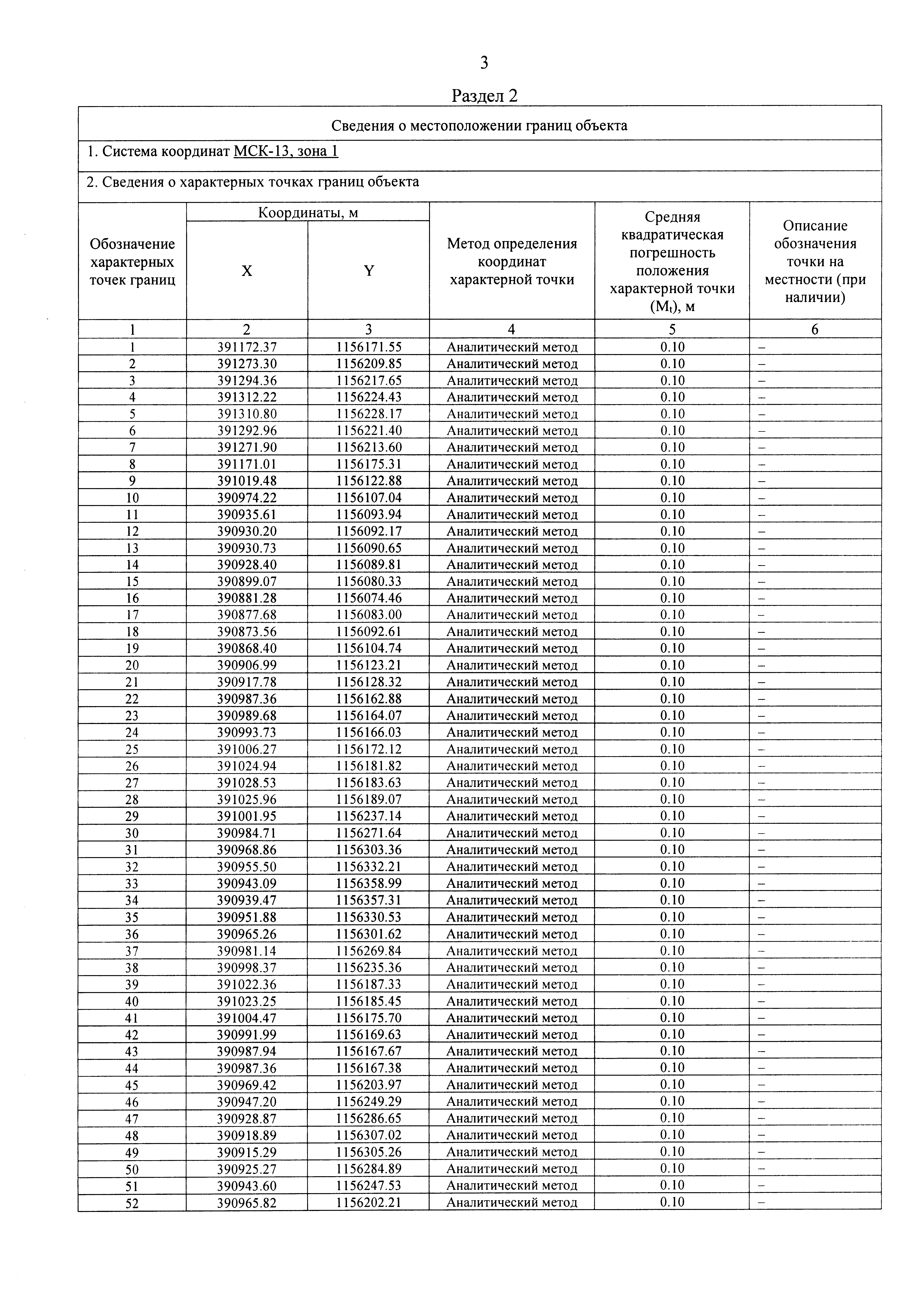
Постановление Правительства Республики Мордовия от 07.07.2025 № 577
"Об утверждении границы охранной зоны газораспределительной сети"
Номер опубликования: 1300202507080007
Дата опубликования: 08.07.2025
Страница №4 из 9: