Официальное опубликование правовых актов
ОФИЦИАЛЬНОЕ ОПУБЛИКОВАНИЕ
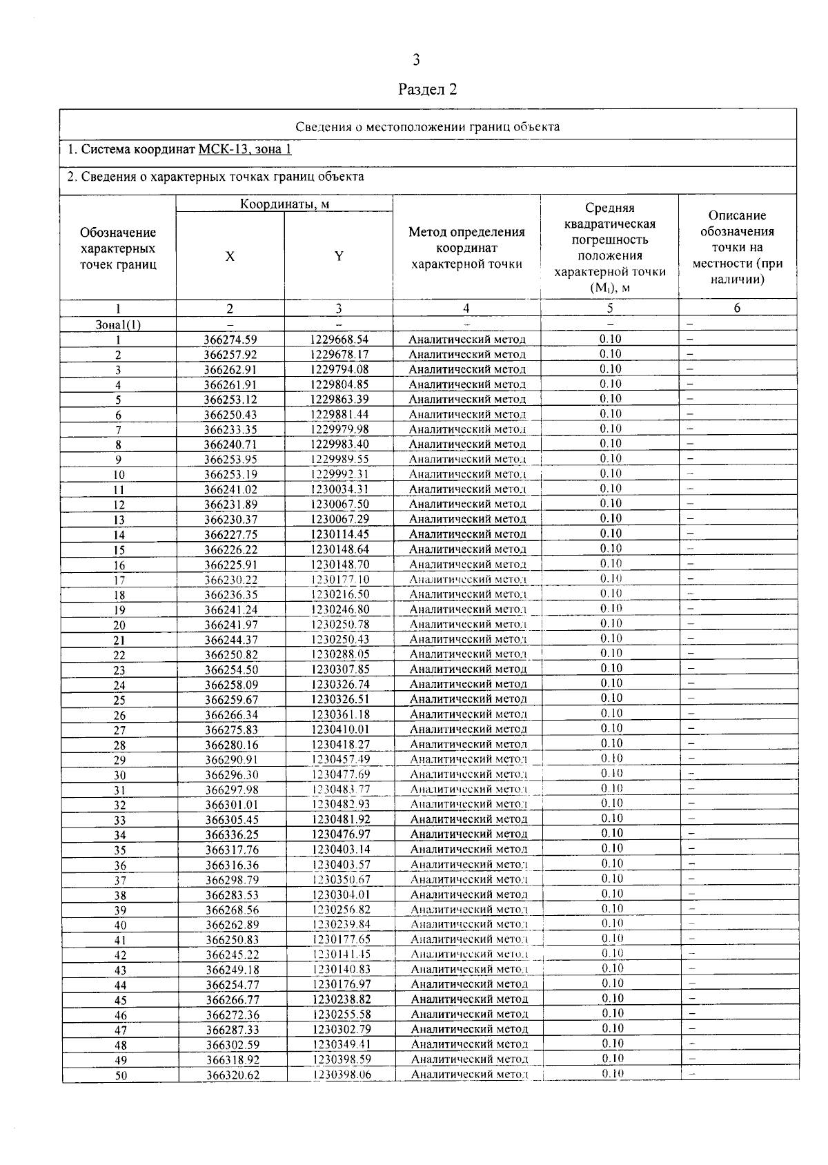
Постановление Правительства Республики Мордовия от 04.07.2025 № 564
"Об утверждении границы охранной зоны газораспределительной сети"
Номер опубликования: 1300202507040007
Дата опубликования: 04.07.2025
Страница №4 из 8:
Увеличить