Официальное опубликование правовых актов
ОФИЦИАЛЬНОЕ ОПУБЛИКОВАНИЕ
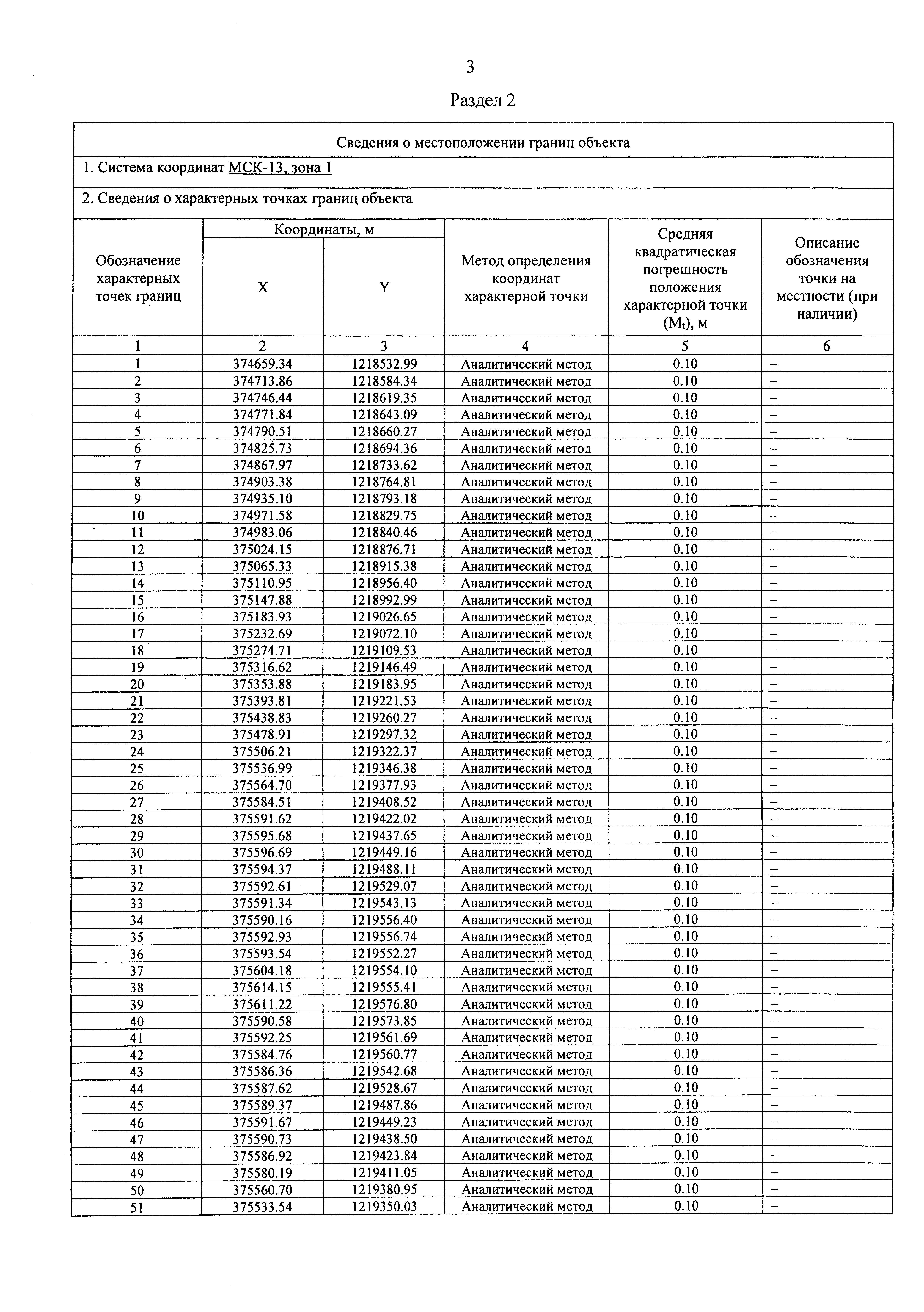
Постановление Правительства Республики Мордовия от 12.05.2025 № 436
"Об утверждении границы охранной зоны газораспределительной сети"
Номер опубликования: 1300202505130003
Дата опубликования: 13.05.2025
Страница №4 из 7: