Официальное опубликование правовых актов
ОФИЦИАЛЬНОЕ ОПУБЛИКОВАНИЕ
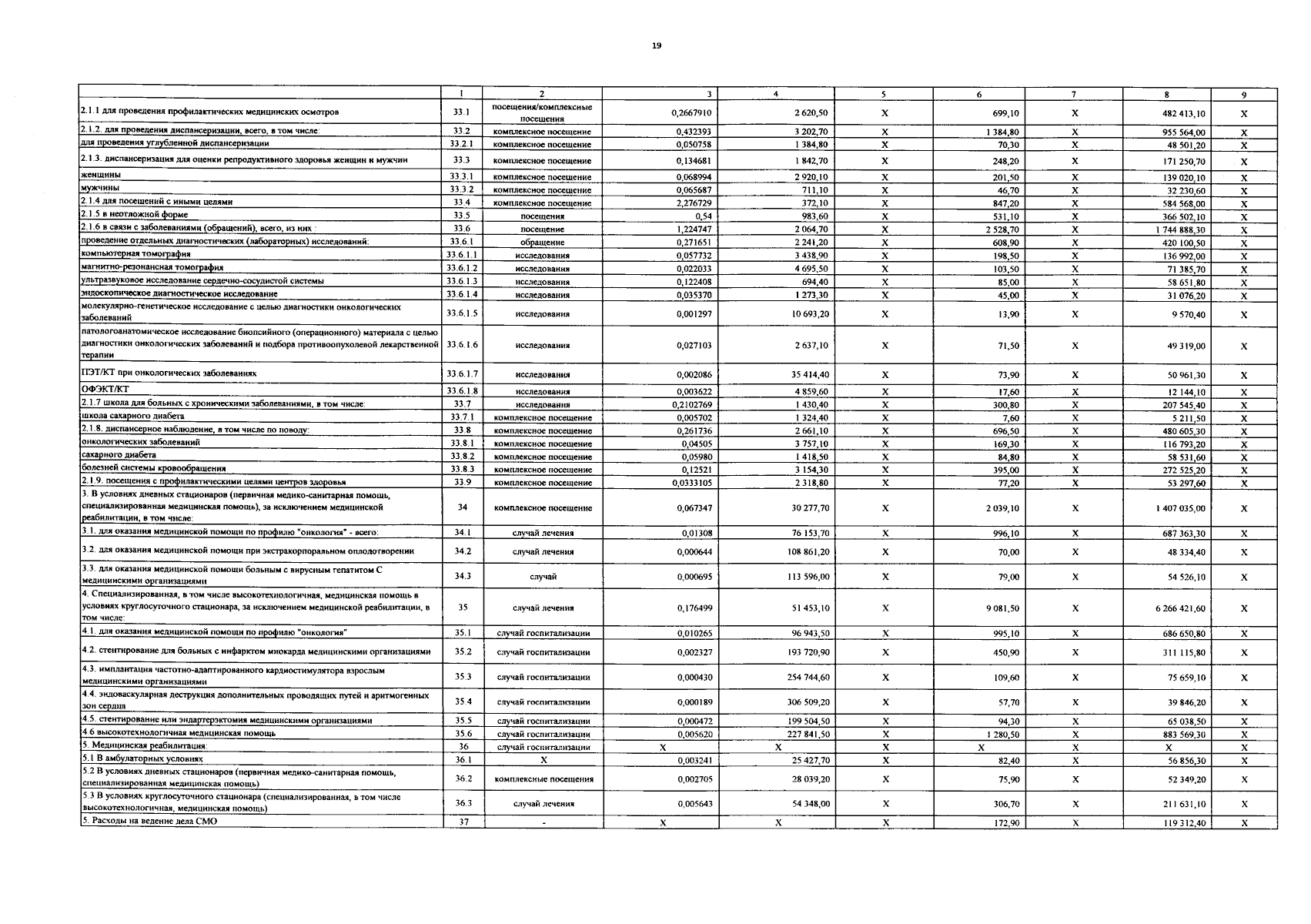
Постановление Правительства Республики Мордовия от 29.04.2025 № 425
"О внесении изменений в Республиканскую территориальную программу государственных гарантий бесплатного оказания населению Республики Мордовия медицинской помощи на 2025 год и на плановый период 2026 и 2027 годов"
Номер опубликования: 1300202504300001
Дата опубликования: 30.04.2025
Страница №19 из 49:
Увеличить