Постановление Правительства Республики Мордовия от 28.02.2025 № 289
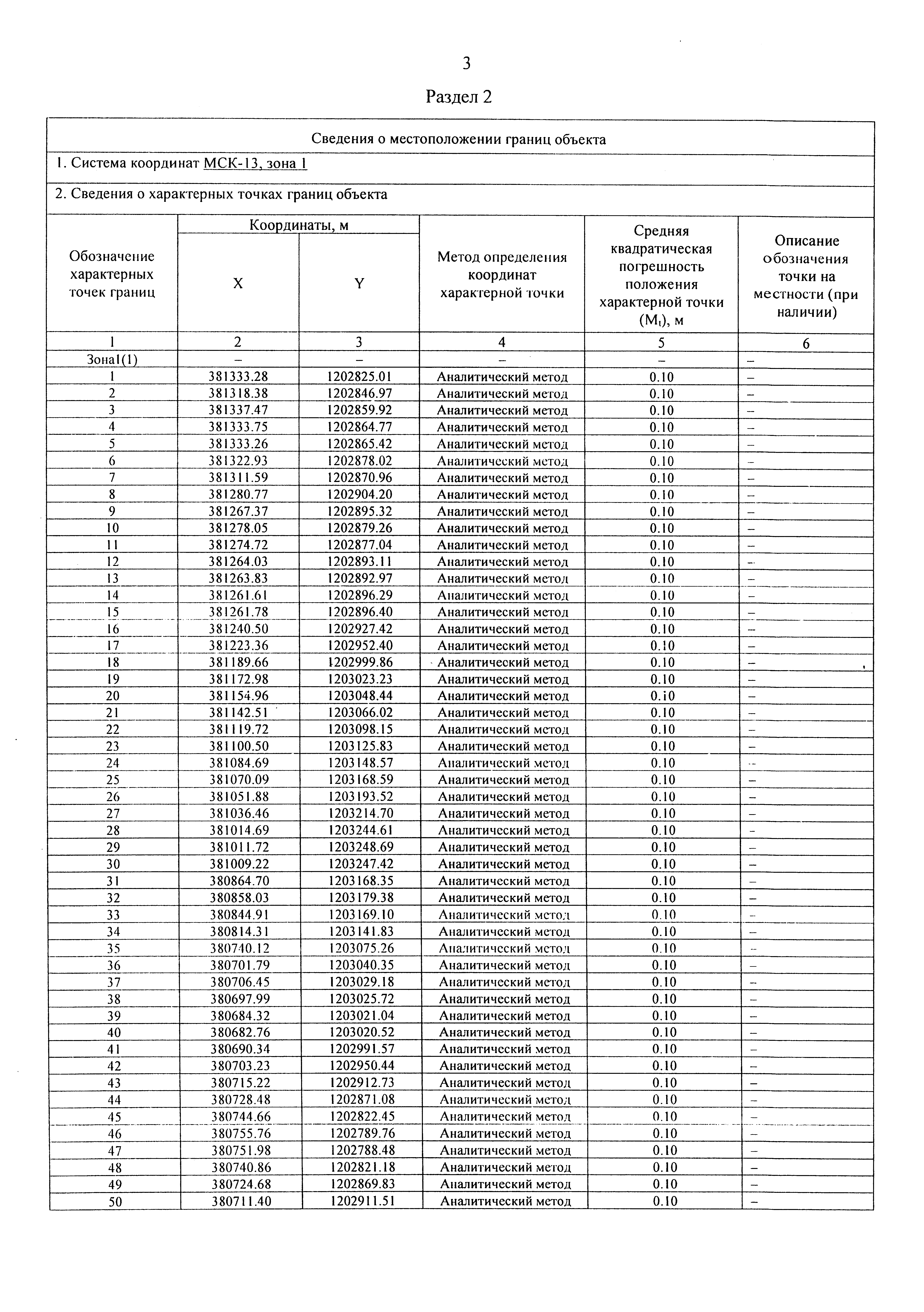
"Об утверждении границы охранной зоны газораспределительной сети"
"Об утверждении границы охранной зоны газораспределительной сети"
Номер опубликования: 1300202502280029
Дата опубликования:
28.02.2025
