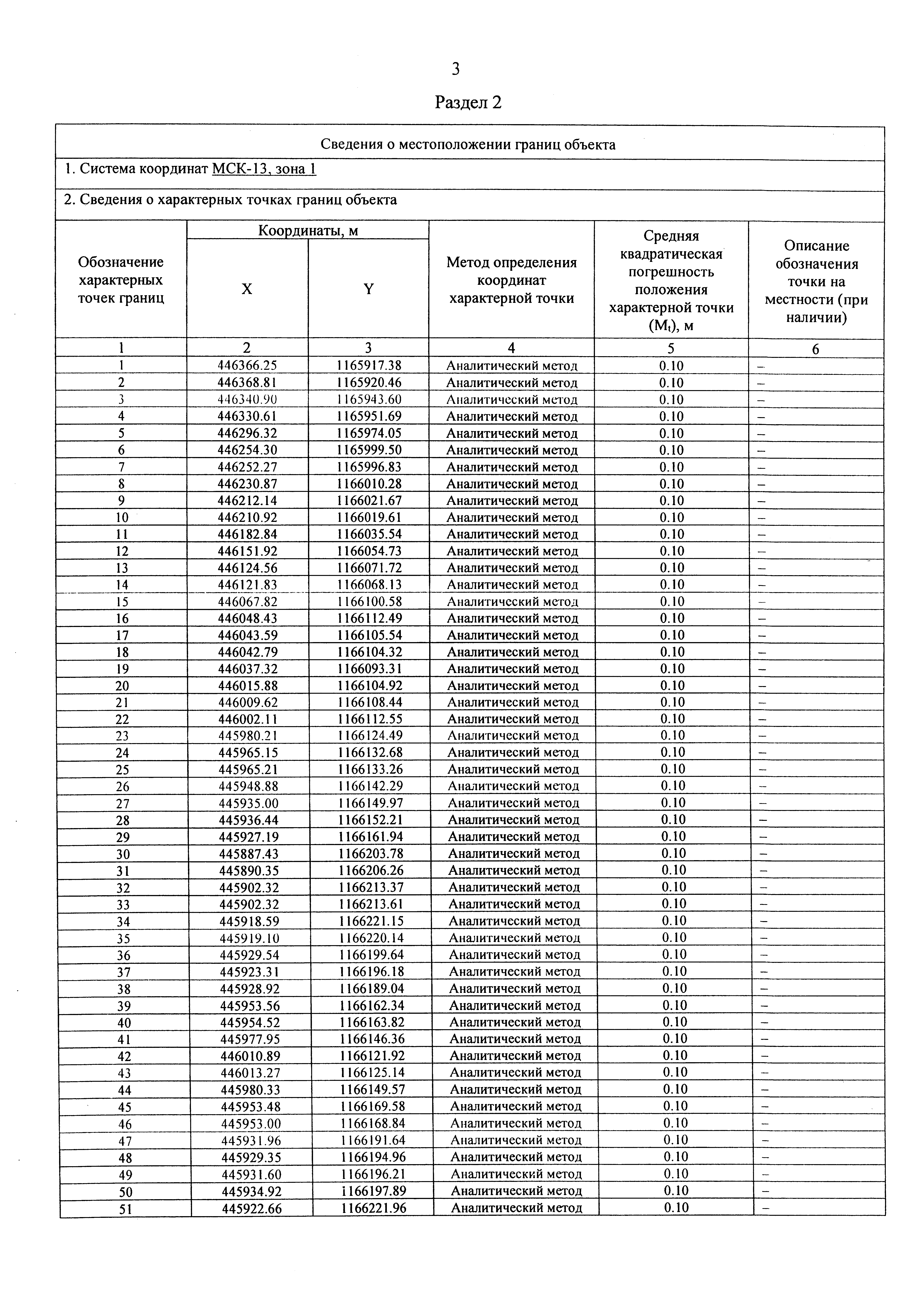
Постановление Правительства Республики Мордовия от 27.02.2025 № 268
"Об утверждении границы охранной зоны газораспределительной сети"
"Об утверждении границы охранной зоны газораспределительной сети"
Номер опубликования: 1300202502270001
Дата опубликования:
27.02.2025
