Официальное опубликование правовых актов
ОФИЦИАЛЬНОЕ ОПУБЛИКОВАНИЕ
Постановление Правительства Республики Мордовия от 19.02.2025 № 251
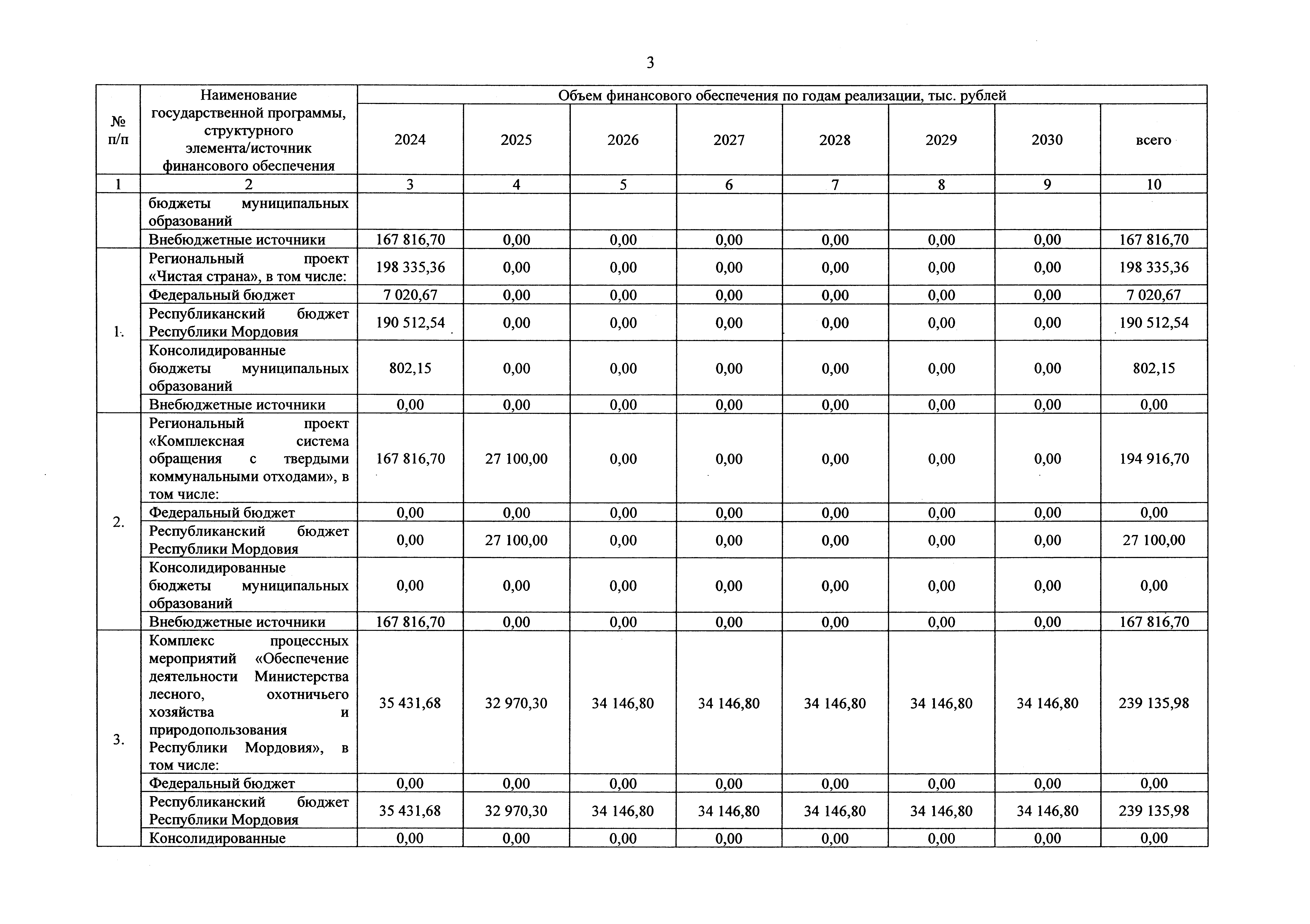
"О внесении изменений в приложение 1 к государственной программе Республики Мордовия "Охрана окружающей среды и повышение экологической безопасности"
Номер опубликования: 1300202502190002
Дата опубликования: 19.02.2025
Страница №3 из 5: