Официальное опубликование правовых актов
ОФИЦИАЛЬНОЕ ОПУБЛИКОВАНИЕ
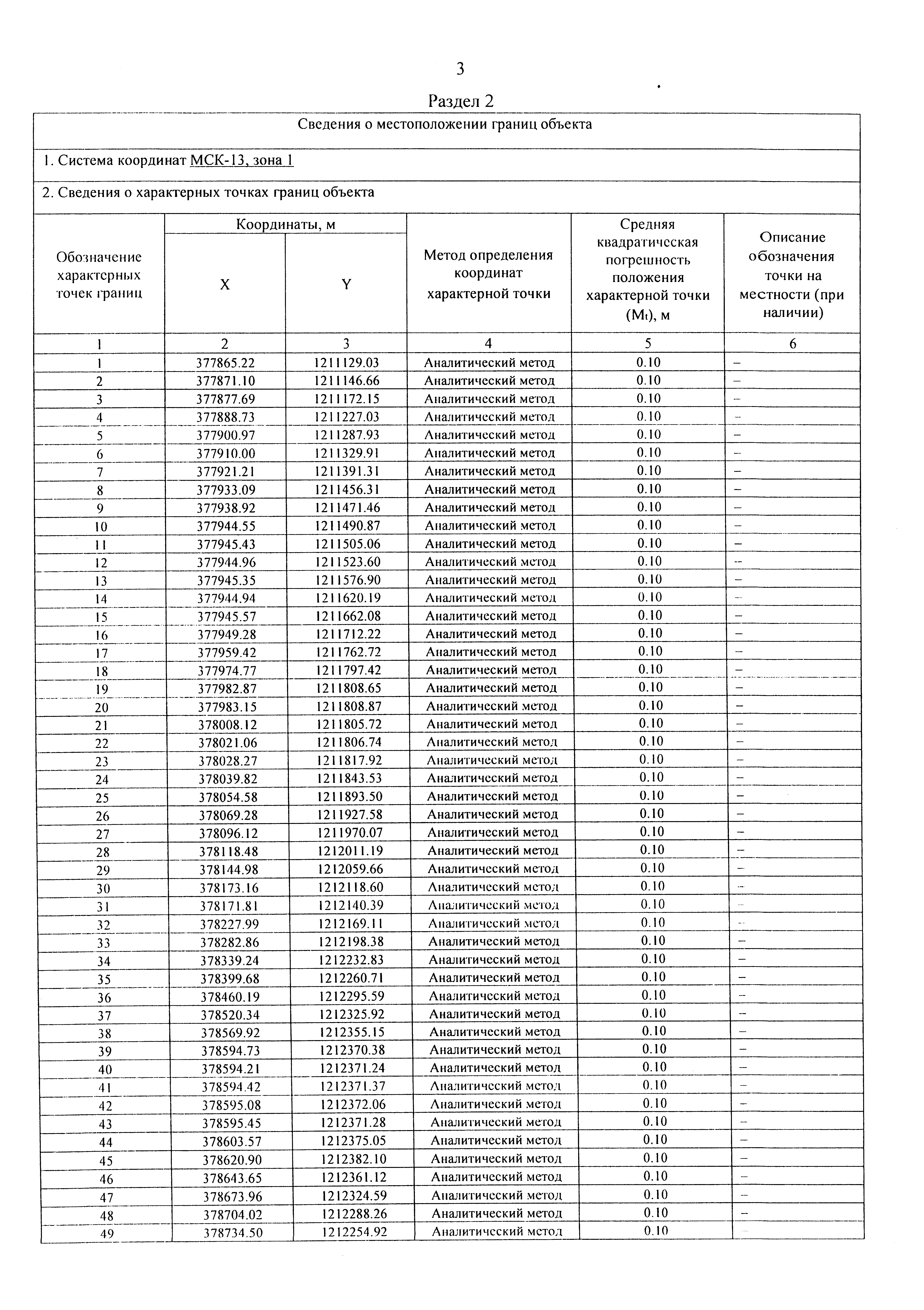
Постановление Правительства Республики Мордовия от 14.02.2025 № 220
"Об утверждении границы охранной зоны газораспределительной сети"
Номер опубликования: 1300202502170004
Дата опубликования: 17.02.2025
Страница №4 из 8: