Официальное опубликование правовых актов
ОФИЦИАЛЬНОЕ ОПУБЛИКОВАНИЕ
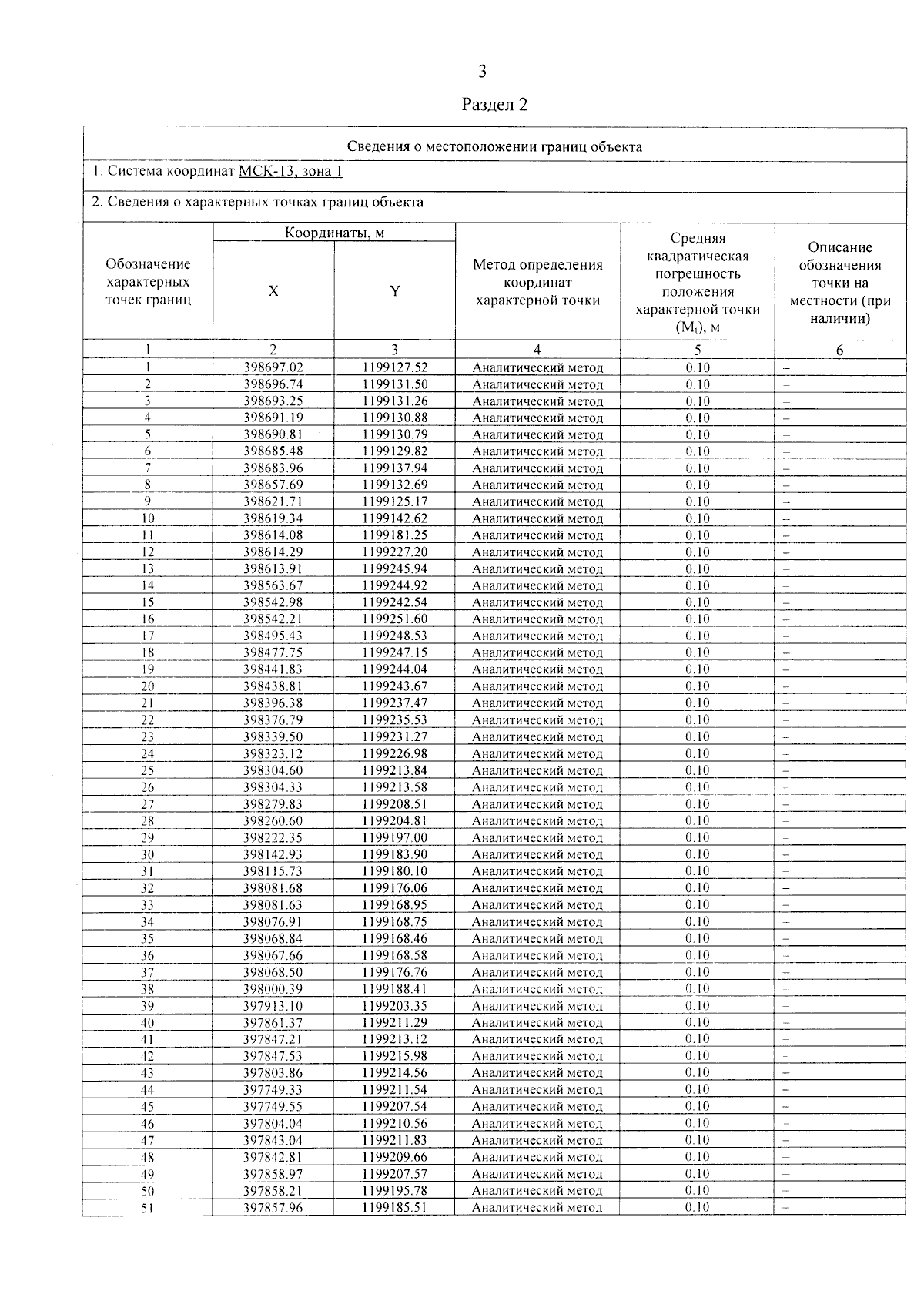
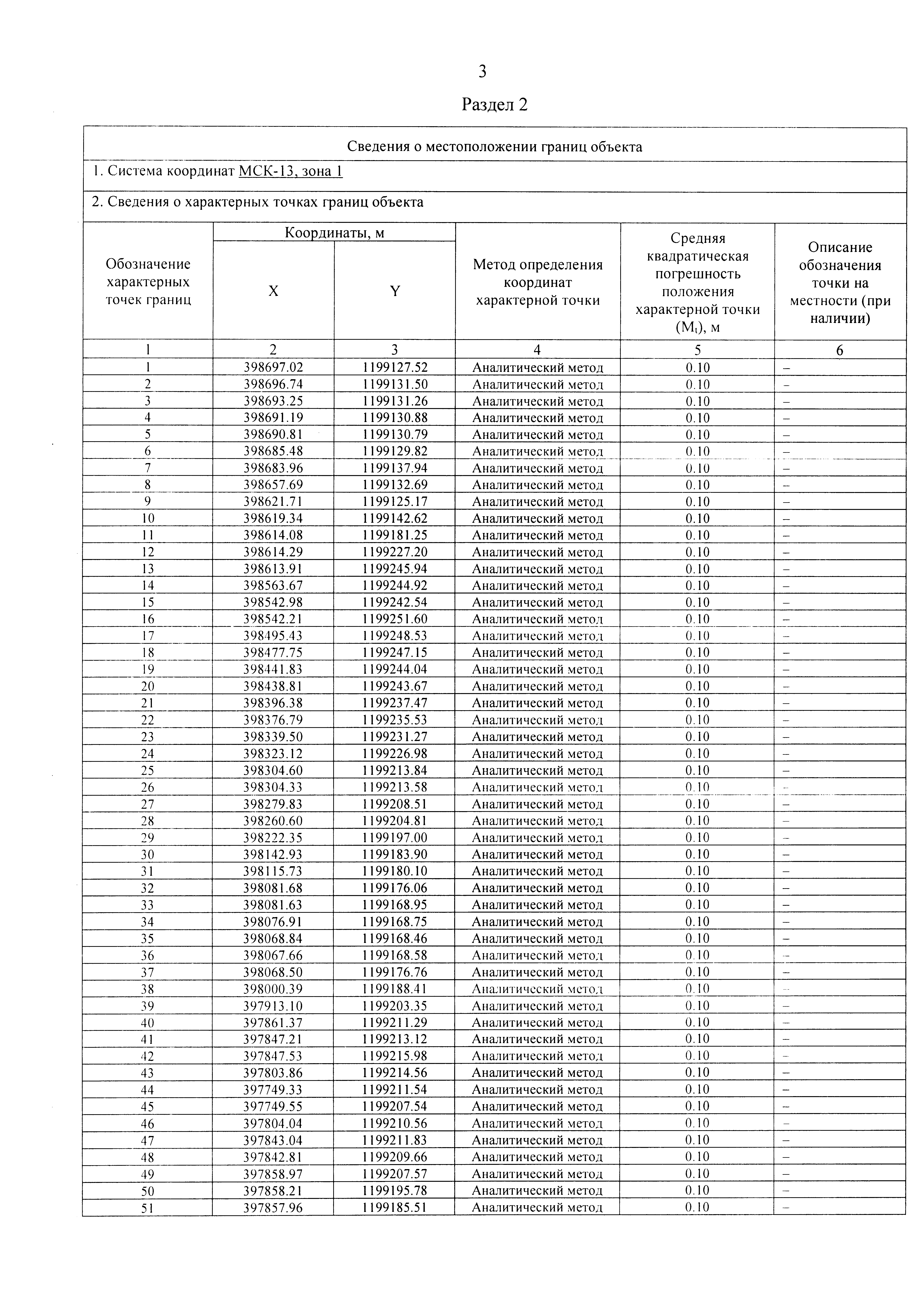
Постановление Правительства Республики Мордовия от 07.02.2025 № 89
"Об утверждении границы охранной зоны газораспределительной сети"
Номер опубликования: 1300202502110011
Дата опубликования: 11.02.2025
Страница №4 из 7: