Официальное опубликование правовых актов
ОФИЦИАЛЬНОЕ ОПУБЛИКОВАНИЕ
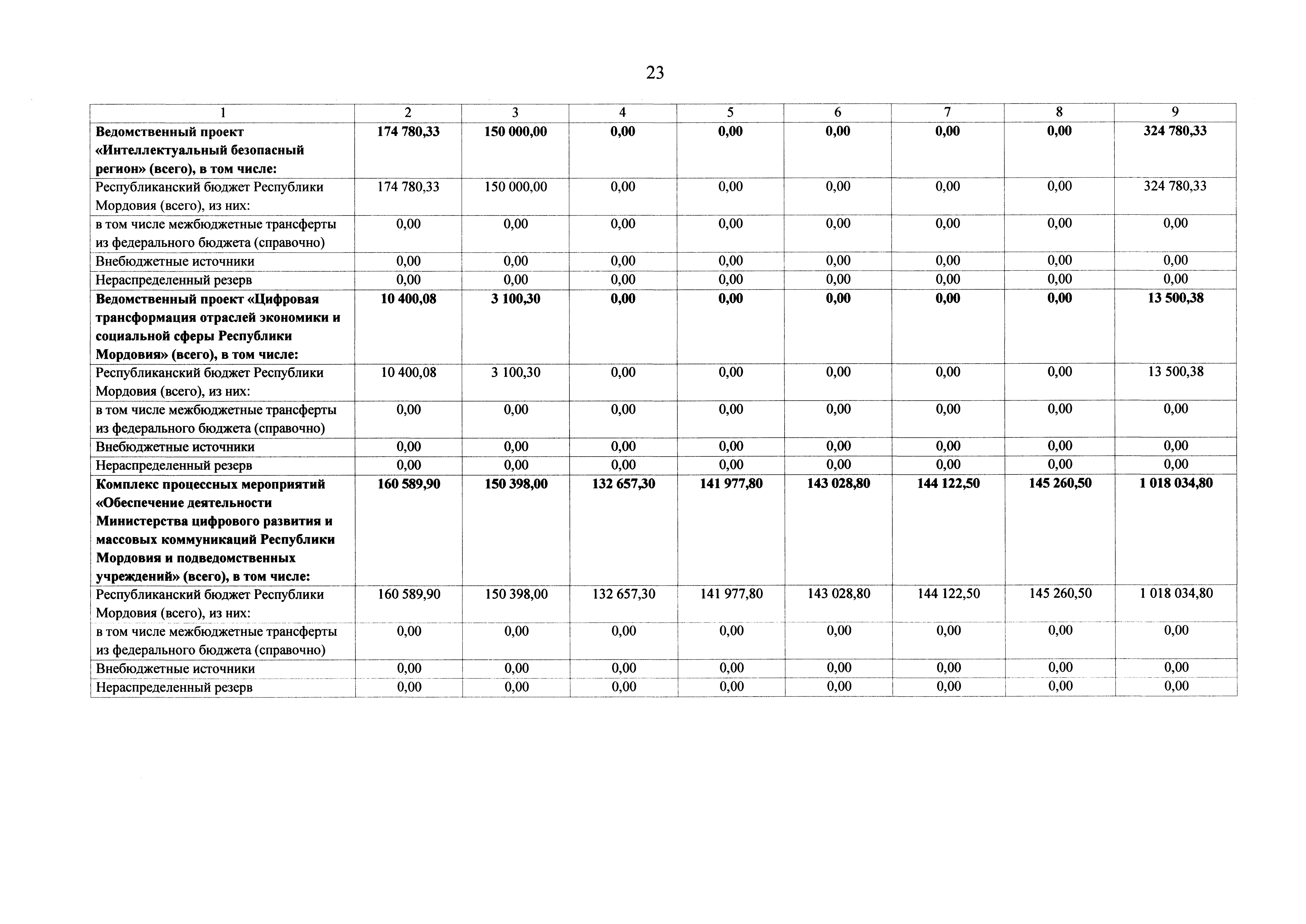
Постановление Правительства Республики Мордовия от 27.12.2024 № 891
"О внесении изменений в постановление Правительства Республики Мордовия от 29 декабря 2023 г. № 792"
Номер опубликования: 1300202412270004
Дата опубликования: 27.12.2024
Страница №23 из 24: