Официальное опубликование правовых актов
ОФИЦИАЛЬНОЕ ОПУБЛИКОВАНИЕ
Постановление Правительства Республики Мордовия от 19.12.2024 № 874
"Об утверждении проектной документации по установлению и изменению границ лесов, расположенных в лесопарковых зонах в лесах Саранского участкового лесничества Саранского территориального лесничества Республики Мордовия, и изменении площади и границ лесов, расположенных в лесопарковых зонах Саранского участкового лесничества Саранского территориального лесничества Республики Мордовия"
Номер опубликования: 1300202412260004
Дата опубликования: 26.12.2024
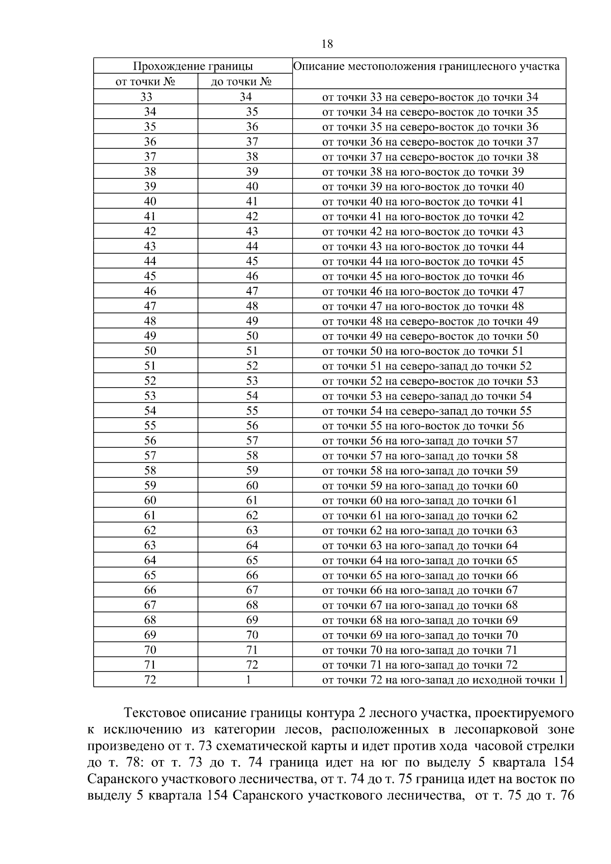
Страница №20 из 280:
Увеличить