Официальное опубликование правовых актов
ОФИЦИАЛЬНОЕ ОПУБЛИКОВАНИЕ
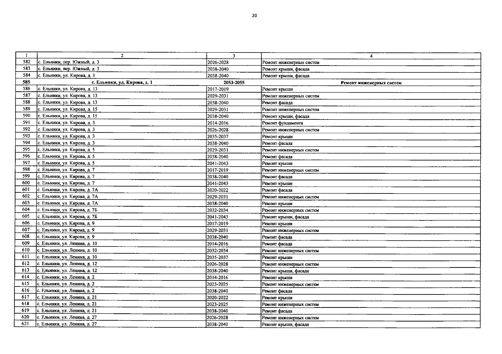
Постановление Правительства Республики Мордовия от 16.07.2024 № 596
"О внесении изменений в Республиканскую адресную программу "Проведение капитального ремонта общего имущества в многоквартирных домах, расположенных на территории Республики Мордовия" на 2014 – 2055 годы"
Номер опубликования: 1300202407160004
Дата опубликования: 16.07.2024
Страница №20 из 274:
Увеличить