Официальное опубликование правовых актов
ОФИЦИАЛЬНОЕ ОПУБЛИКОВАНИЕ
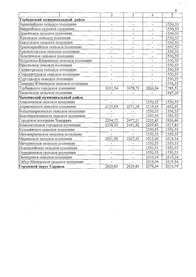
Постановление Правительства Республики Мордовия от 22.03.2016 № 140
"О региональных стандартах стоимости жилищно-коммунальных услуг на 2016-2017 годы, используемых для расчета субсидий"
Номер опубликования: 1300201603280005
Дата опубликования: 28.03.2016
Страница №26 из 26:
Увеличить