Официальное опубликование правовых актов
ОФИЦИАЛЬНОЕ ОПУБЛИКОВАНИЕ
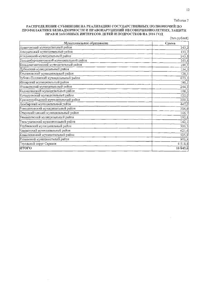
Закон Республики Мордовия от 22.12.2015 № 89-З
"О республиканском бюджете Республики Мордовия на 2016 год"
Номер опубликования: 1300201512310002
Дата опубликования: 31.12.2015
Страница №399 из 447:
Увеличить