Официальное опубликование правовых актов
ОФИЦИАЛЬНОЕ ОПУБЛИКОВАНИЕ
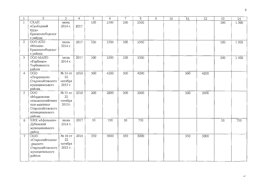
Постановление Правительства Республики Мордовия от 14.12.2015 № 703
"О внесении изменений в Государственную программу Республики Мордовия развития сельского хозяйства и регулирования рынков сельскохозяйственной продукции, сырья и продовольствия на 2013-2020 годы"
Номер опубликования: 1300201512230001
Дата опубликования: 23.12.2015
Страница №8 из 24:
Увеличить