Официальное опубликование правовых актов
ОФИЦИАЛЬНОЕ ОПУБЛИКОВАНИЕ
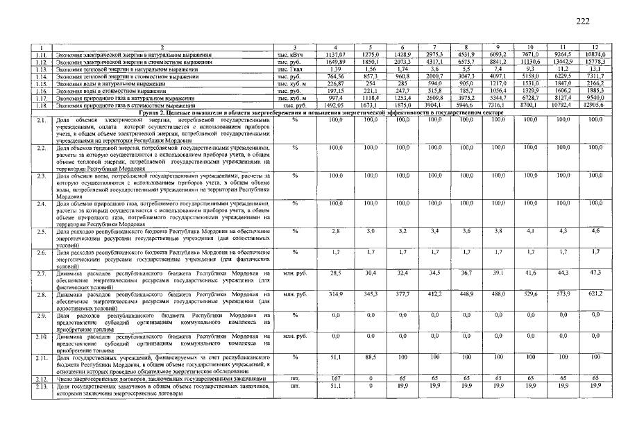
Постановление Правительства Республики Мордовия от 24.04.2015 № 230
"О внесении изменений в государственную программу "Энергосбережение и повышение энергетической эффективности в Республике Мордовия" на 2014-2020 годы"
Номер опубликования: 1300201504290009
Дата опубликования: 29.04.2015
Страница №222 из 245:
Увеличить