Официальное опубликование правовых актов
ОФИЦИАЛЬНОЕ ОПУБЛИКОВАНИЕ
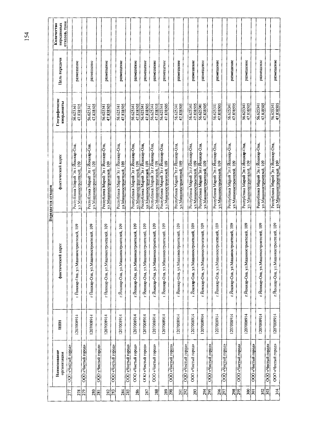
Приказ Министерства строительства, архитектуры и жилищно-коммунального хозяйства Республики Марий Эл от 13.04.2026 № 233
"Об утверждении Территориальной схемы обращения с отходами производства и потребления Республики Марий Эл"
(Зарегистрирован 23.04.2026 № 120920260012)
Номер опубликования: 1201202604240003
Дата опубликования: 24.04.2026
Страница №156 из 163:
Увеличить