Официальное опубликование правовых актов
ОФИЦИАЛЬНОЕ ОПУБЛИКОВАНИЕ
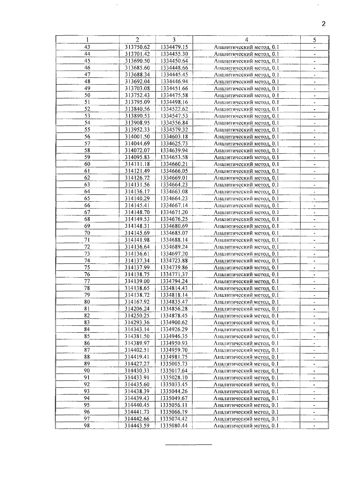
Приказ Министерства строительства, архитектуры и жилищно-коммунального хозяйства Республики Марий Эл от 15.01.2025 № 10
"Об утверждении границ охранных зон газораспределительных сетей и наложении ограничений (обременений) на входящие в них земельные участки"
(Зарегистрирован 27.01.2025 № 120920250001)
Номер опубликования: 1201202501290004
Дата опубликования: 29.01.2025
Страница №54 из 64:
Увеличить