Официальное опубликование правовых актов
ОФИЦИАЛЬНОЕ ОПУБЛИКОВАНИЕ
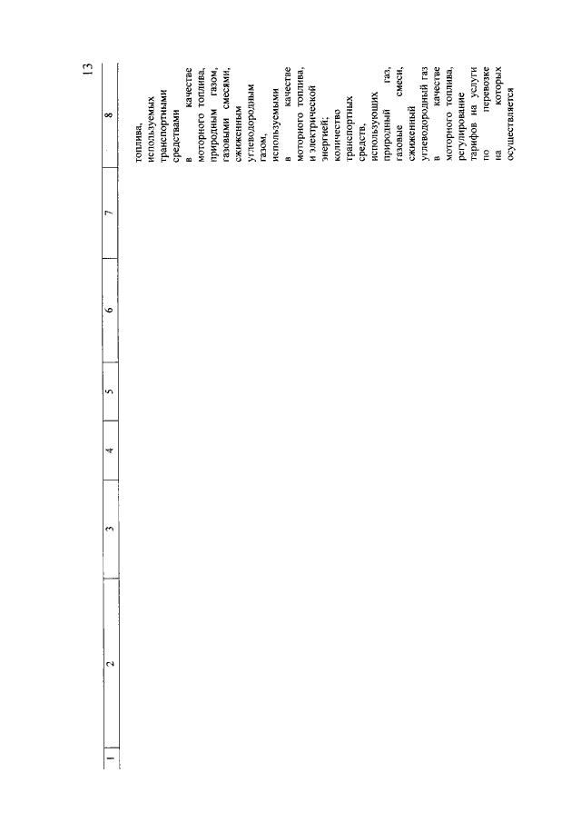
Постановление Правительства Республики Марий Эл от 12.06.2017 № 262
"О внесении изменения в постановление Правительства Республики Марий Эл от 1 ноября 2012 г. № 406"
Номер опубликования: 1200201706140007
Дата опубликования: 14.06.2017
Страница №43 из 69:
Увеличить