Официальное опубликование правовых актов
ОФИЦИАЛЬНОЕ ОПУБЛИКОВАНИЕ
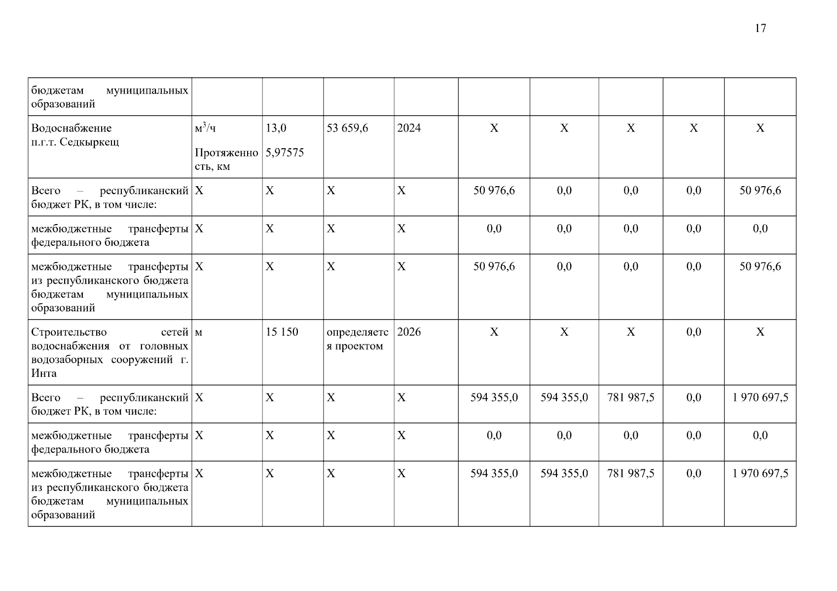
Постановление Правительства Республики Коми от 27.03.2026 № 98
"О внесении изменений в постановление Правительства Республики Коми от 31 октября 2019 г. № 520 "О Государственной программе Республики Коми "Развитие строительства, обеспечение доступным и комфортным жильем и коммунальными услугами граждан"
Номер опубликования: 1100202604010006
Дата опубликования: 01.04.2026
Страница №17 из 20:
Увеличить