Официальное опубликование правовых актов
ОФИЦИАЛЬНОЕ ОПУБЛИКОВАНИЕ
Постановление Правительства Республики Коми от 05.03.2026 № 72
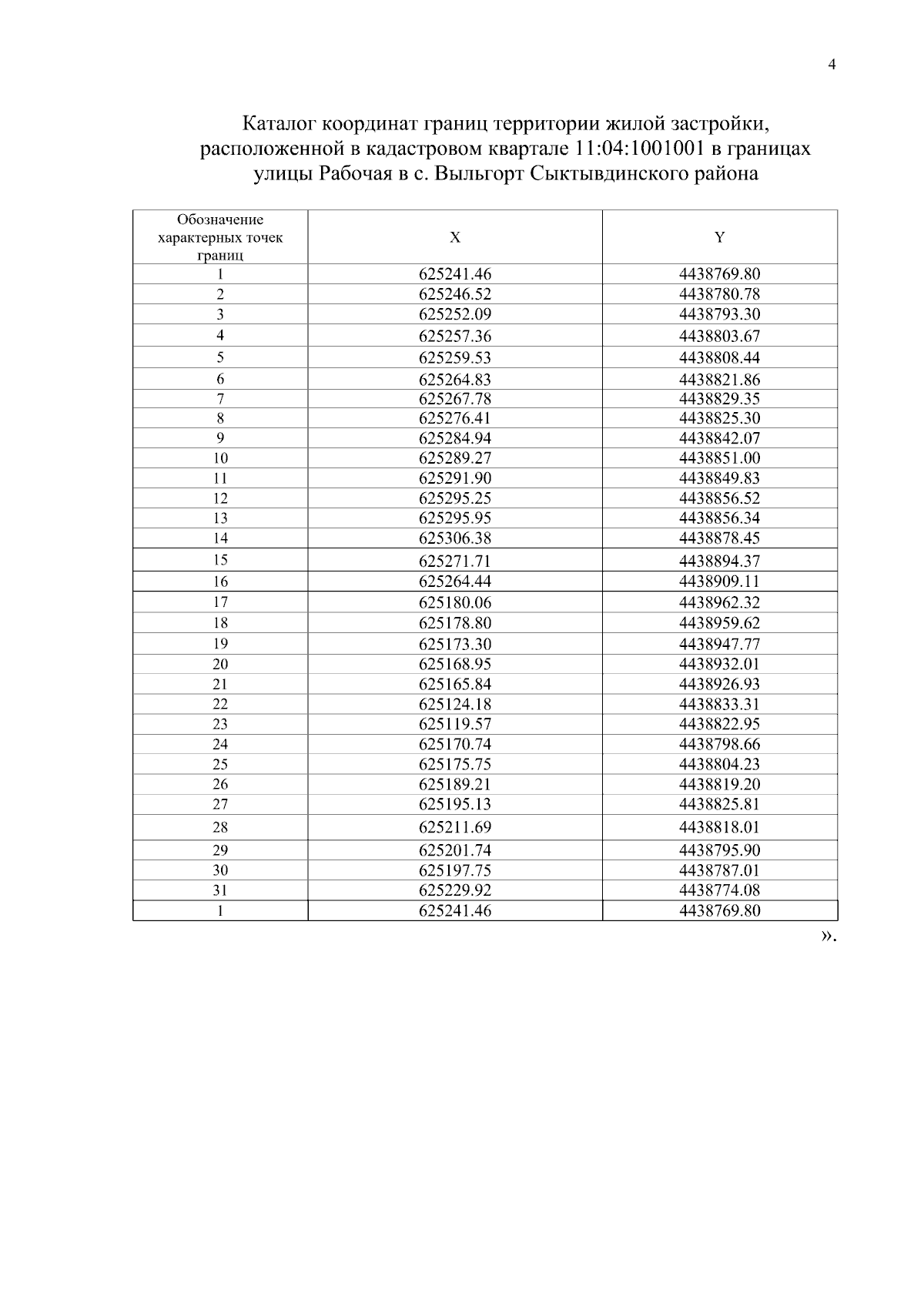
"О внесении изменений в постановление Правительства Республики Коми от 19 января 2024 г. № 19 "О комплексном развитии территории жилой застройки, расположенной на территории муниципального образования сельского поселения "Выльгорт" муниципального образования муниципального района "Сыктывдинский"
Номер опубликования: 1100202603100009
Дата опубликования: 10.03.2026
Страница №4 из 20:
Увеличить