Официальное опубликование правовых актов
ОФИЦИАЛЬНОЕ ОПУБЛИКОВАНИЕ
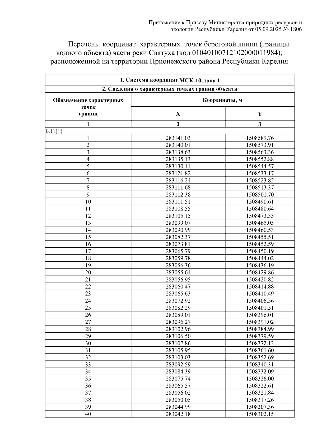
Приказ Министерства природных ресурсов и экологии Республики Карелия от 05.09.2025 № 1806
"Об утверждении местоположения береговой линии (границы водного объекта) части реки Святуха (код 01040100712102000011984), расположенной на территории Прионежского района Республики Карелия"
(Зарегистрирован 10.09.2025 № 738)
Номер опубликования: 1001202509170004
Дата опубликования: 17.09.2025
Страница №3 из 11:
Увеличить