Официальное опубликование правовых актов
ОФИЦИАЛЬНОЕ ОПУБЛИКОВАНИЕ
Приказ Министерства национальной и региональной политики Республики Карелия от 23.05.2025 № 106
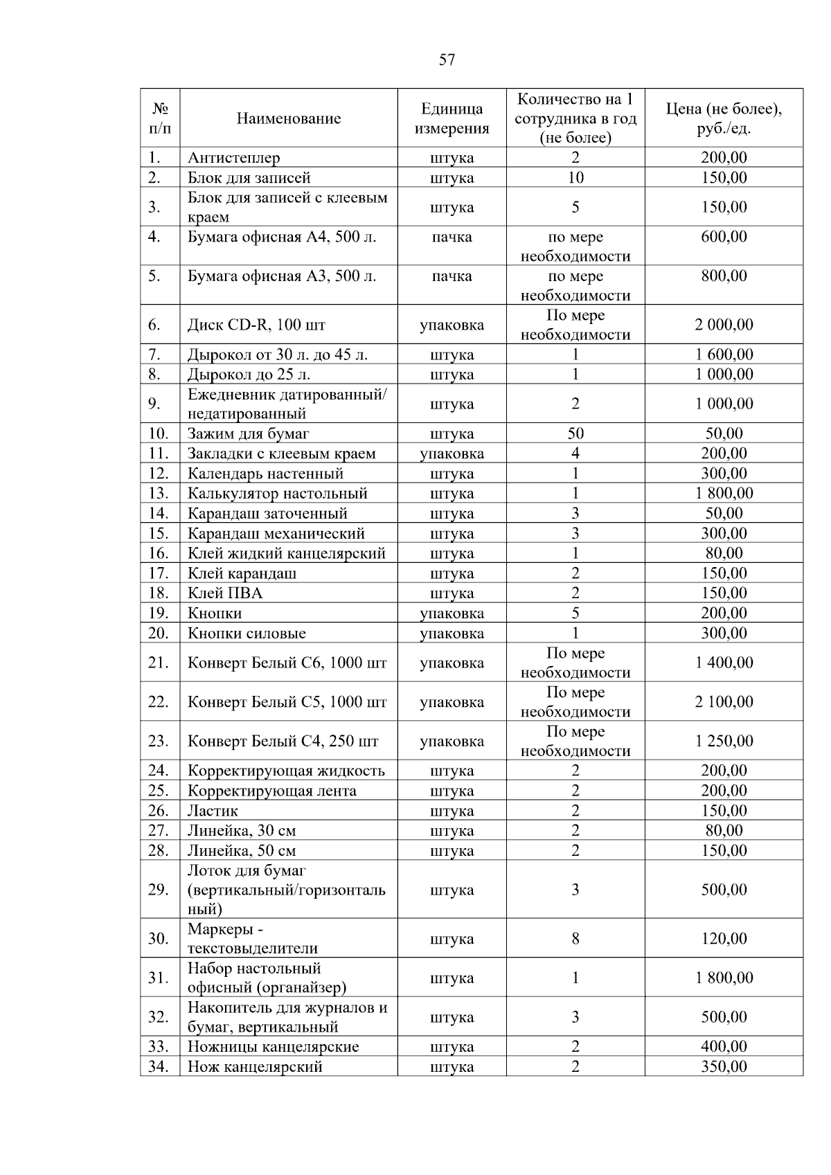
"Об утверждении нормативных затрат на обеспечение функций Министерства национальной и региональной политики Республики Карелия и подведомственных ему государственных учреждений Республики Карелия в части закупок товаров, работ, услуг"
(Зарегистрирован 26.05.2025 № 447)
Номер опубликования: 1001202505260006
Дата опубликования: 26.05.2025
Страница №59 из 71:
Увеличить