Официальное опубликование правовых актов
ОФИЦИАЛЬНОЕ ОПУБЛИКОВАНИЕ
Приказ Министерства строительства, жилищно-коммунального хозяйства и энергетики Республики Карелия от 21.05.2025 № 38/МСЖКХиЭ-П
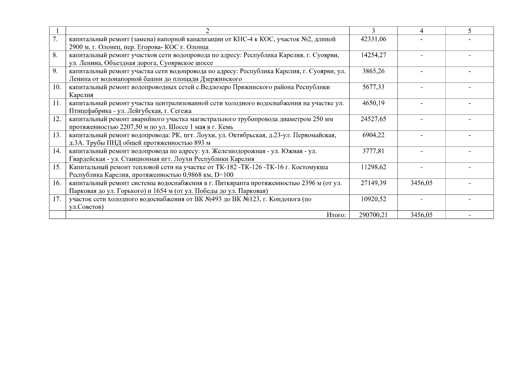
"Об утверждении перечня мероприятий (объектов капитального строительства и (или) объектов недвижимого имущества), в целях софинансирования которых предоставляется субсидия на реализацию мероприятий по модернизации коммунальной инфраструктуры Республики Карелия в 2025-2027 годах"
(Зарегистрирован 23.05.2025 № 446)
Номер опубликования: 1001202505230005
Дата опубликования: 23.05.2025
Страница №4 из 4:
Увеличить