Официальное опубликование правовых актов
ОФИЦИАЛЬНОЕ ОПУБЛИКОВАНИЕ
Приказ Управления по охране объектов культурного наследия Республики Карелия от 07.12.2017 № 104
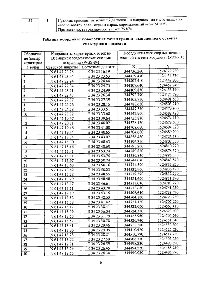
"Об установлении границ территории выявленного объекта культурного наследия "Парк культуры и отдыха г. Петрозаводска", первая четверть XVIII; XIX – середина ХХ вв., расположенного по адресу: Республика Карелия, г. Петрозаводск, территория, ограниченная набережной Онежского озера, рекой Лососинка, ул. Луначарского, пл. Кирова и пр. Карла Маркса, как объекта градостроительной деятельности особого регулирования"
Номер опубликования: 1001201712080018
Дата опубликования: 08.12.2017
Страница №6 из 10:
Увеличить