Официальное опубликование правовых актов
ОФИЦИАЛЬНОЕ ОПУБЛИКОВАНИЕ
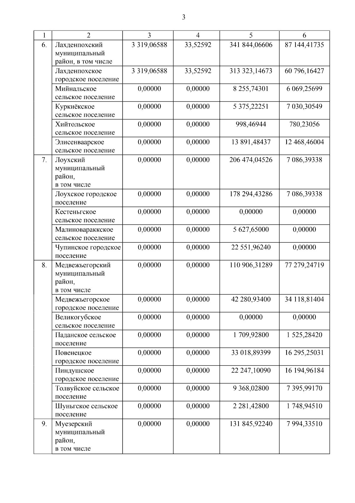
Постановление Правительства Республики Карелия от 28.11.2025 № 401-П
"О внесении изменения в постановление Правительства Республики Карелия от 10 июля 2025 года № 248-П"
Номер опубликования: 1000202512050008
Дата опубликования: 05.12.2025
Страница №3 из 6:
Увеличить