Официальное опубликование правовых актов
ОФИЦИАЛЬНОЕ ОПУБЛИКОВАНИЕ
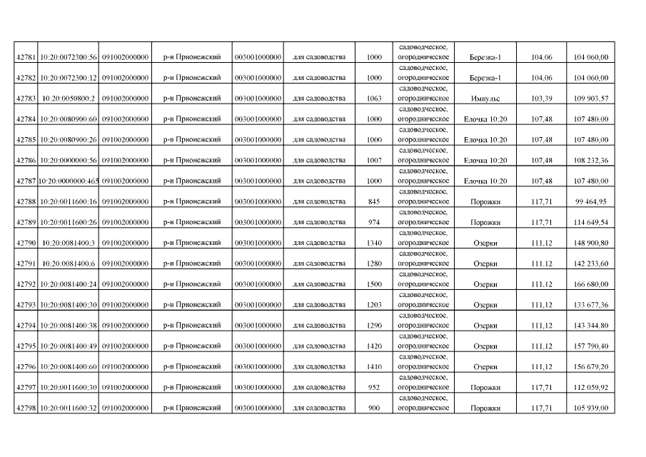
Постановление Правительства Республики Карелия от 26.12.2014 № 410-П
"Об утверждении результатов определения кадастровой стоимости земельных участков в составе земель садоводческих, огороднических и дачных объединений на территории Республики Карелия"
Номер опубликования: 1000201412310001
Дата опубликования: 31.12.2014
Страница №2587 из 2927:
Увеличить