Официальное опубликование правовых актов
ОФИЦИАЛЬНОЕ ОПУБЛИКОВАНИЕ
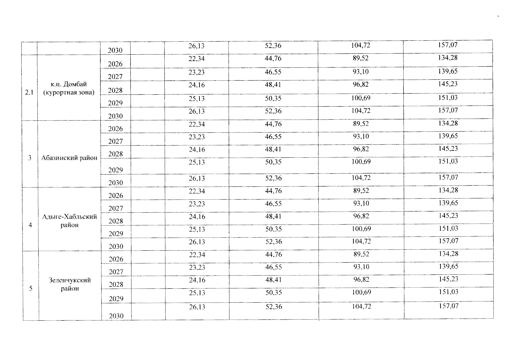
Постановление Главного Управления Карачаево-Черкесской Республики по тарифам и ценам от 21.11.2025 № 48
"Об утверждении базового уровня тарифов на перемещение и хранение задержанных транспортных средств на специализированные стоянки по Карачаево-Черкесской Республике на 2026-2030 годы"
(Зарегистрирован 21.11.2025 № 17-0048/25)
Номер опубликования: 0901202511240003
Дата опубликования: 24.11.2025
Страница №6 из 8:
Увеличить