Официальное опубликование правовых актов
ОФИЦИАЛЬНОЕ ОПУБЛИКОВАНИЕ
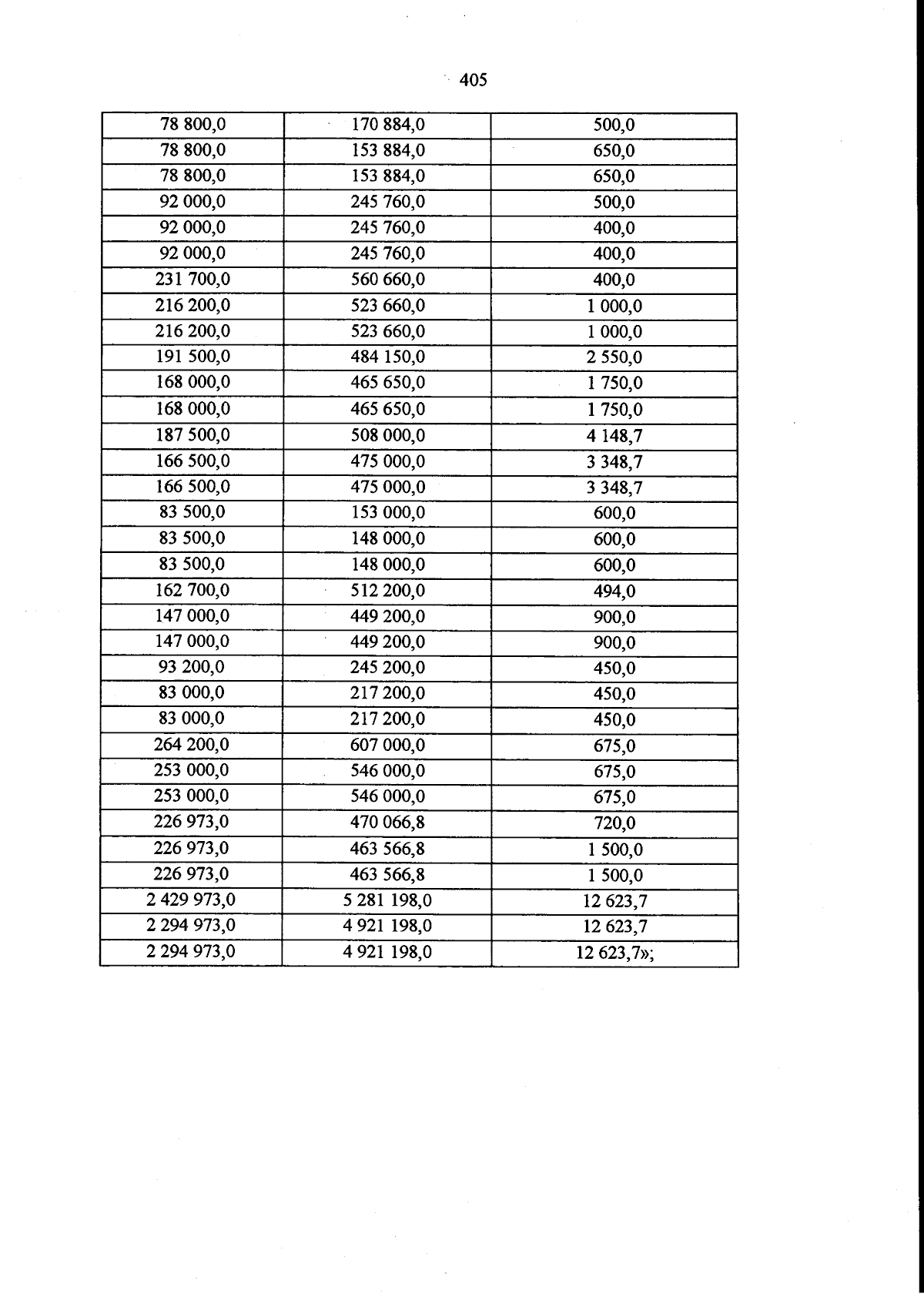
Закон Карачаево-Черкесской Республики от 17.11.2025 № 56-РЗ
"О внесении изменений в Закон Карачаево-Черкесской Республики "О республиканском бюджете Карачаево-Черкесской Республики на 2025 год и на плановый период 2026 и 2027 годов"
Номер опубликования: 0900202511190005
Дата опубликования: 19.11.2025
Страница №405 из 417:
Увеличить