Официальное опубликование правовых актов
ОФИЦИАЛЬНОЕ ОПУБЛИКОВАНИЕ
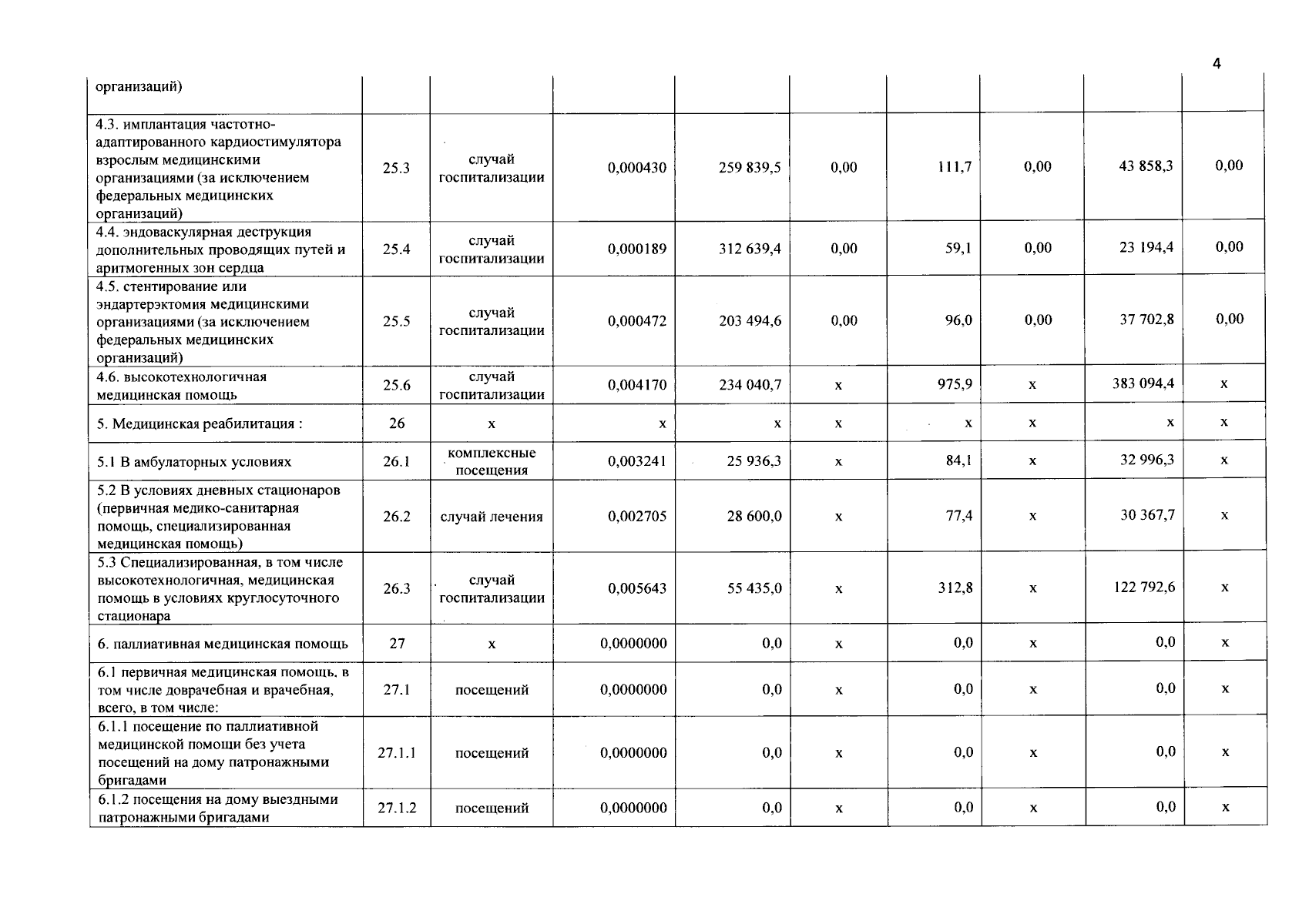
Постановление Правительства Карачаево-Черкесской Республики от 01.10.2025 № 216
"О внесении изменений в постановление Правительства Карачаево-Черкесской Республики от 31.01.2025 № 2 "О Территориальной программе государственных гарантий бесплатного оказания гражданам медицинской помощи на 2025 и на плановый период 2026 и 2027 годов в Карачаево-Черкесской Республике"
Номер опубликования: 0900202510020001
Дата опубликования: 02.10.2025
Страница №41 из 61:
Увеличить