Официальное опубликование правовых актов
ОФИЦИАЛЬНОЕ ОПУБЛИКОВАНИЕ
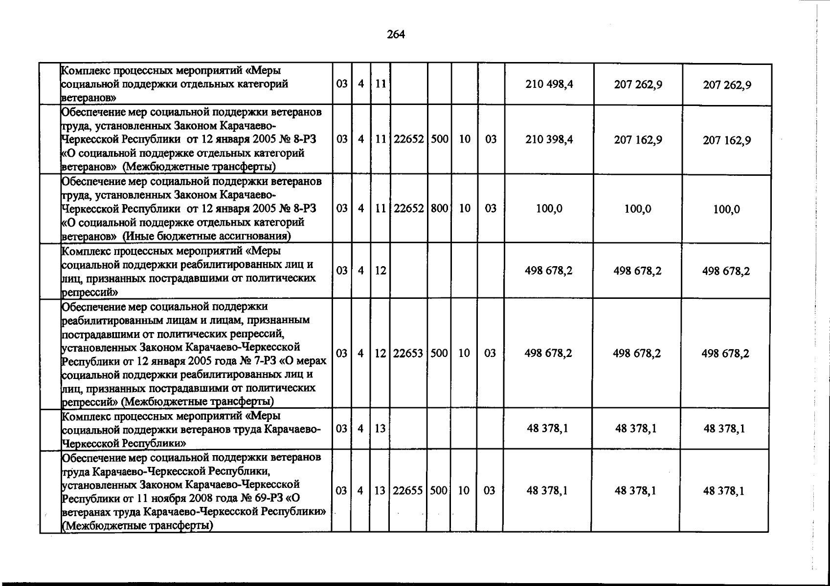
Закон Карачаево-Черкесской Республики от 01.07.2025 № 49-РЗ
"О внесении изменений в Закон Карачаево-Черкесской Республики "О республиканском бюджете Карачаево-Черкесской Республики на 2025 год и на плановый период 2026 и 2027 годов"
Номер опубликования: 0900202507080002
Дата опубликования: 08.07.2025
Страница №264 из 388:
Увеличить