Официальное опубликование правовых актов
ОФИЦИАЛЬНОЕ ОПУБЛИКОВАНИЕ
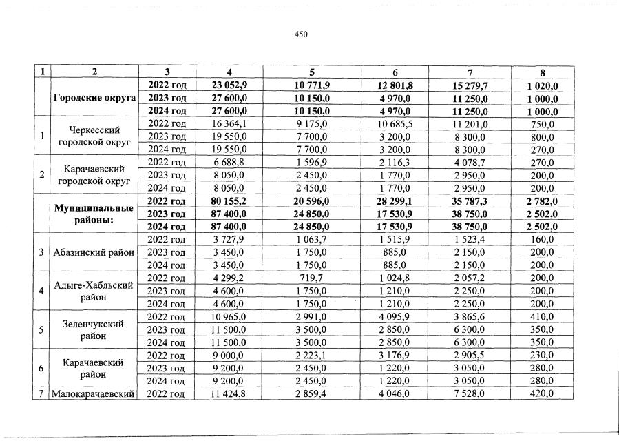
Закон Карачаево-Черкесской Республики от 26.10.2022 № 61-РЗ
"О внесении изменений в Закон Карачаево-Черкесской Республики "О республиканском бюджете Карачаево-Черкесской Республики на 2022 год и на плановый период 2023 и 2024 годов"
Номер опубликования: 0900202211030006
Дата опубликования: 03.11.2022
Страница №450 из 455:
Увеличить