Официальное опубликование правовых актов
ОФИЦИАЛЬНОЕ ОПУБЛИКОВАНИЕ
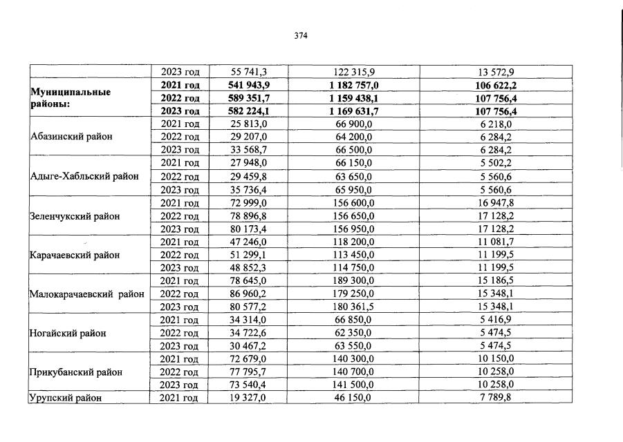
Закон Карачаево-Черкесской Республики от 20.02.2021 № 2-РЗ
"О внесении изменений в Закон Карачаево-Черкесской Республики "О республиканском бюджете Карачаево-Черкесской Республики на 2021 год и на плановый период 2022 и 2023 годов"
Номер опубликования: 0900202102240001
Дата опубликования: 24.02.2021
Страница №374 из 378:
Увеличить