Официальное опубликование правовых актов
ОФИЦИАЛЬНОЕ ОПУБЛИКОВАНИЕ
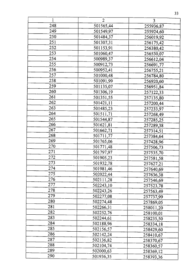
Постановление Правительства Карачаево-Черкесской Республики от 24.12.2020 № 294
"Об утверждении Положения о государственном комплексном заказнике республиканского значения "Архызский" и его границ"
Номер опубликования: 0900202012270002
Дата опубликования: 27.12.2020
Страница №41 из 45:
Увеличить