Официальное опубликование правовых актов
ОФИЦИАЛЬНОЕ ОПУБЛИКОВАНИЕ
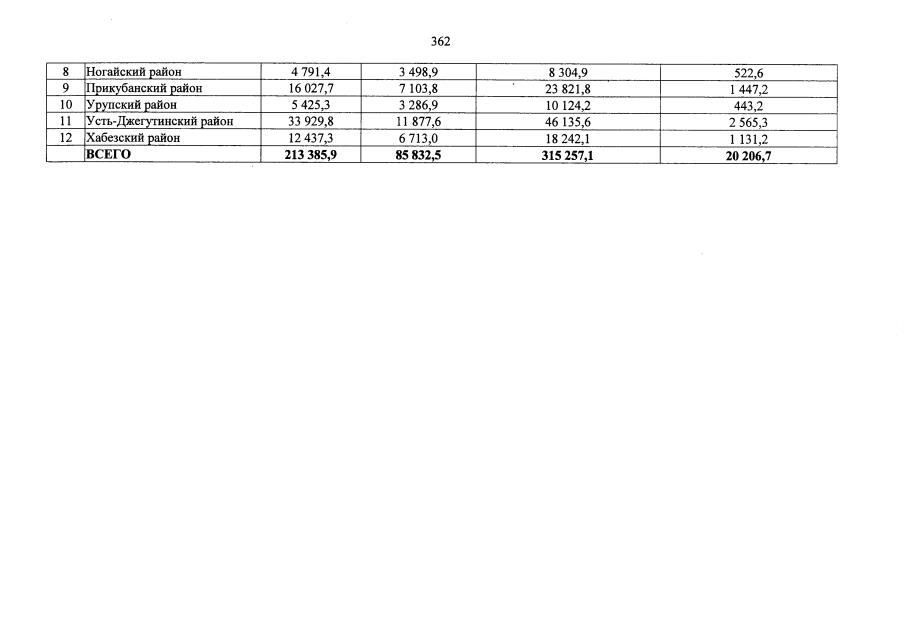
Закон Карачаево-Черкесской Республики от 21.12.2020 № 97-РЗ
"Об исполнении республиканского бюджета Карачаево-Черкесской Республики за 2019 год"
Номер опубликования: 0900202012210005
Дата опубликования: 21.12.2020
Страница №362 из 374:
Увеличить