Официальное опубликование правовых актов
ОФИЦИАЛЬНОЕ ОПУБЛИКОВАНИЕ
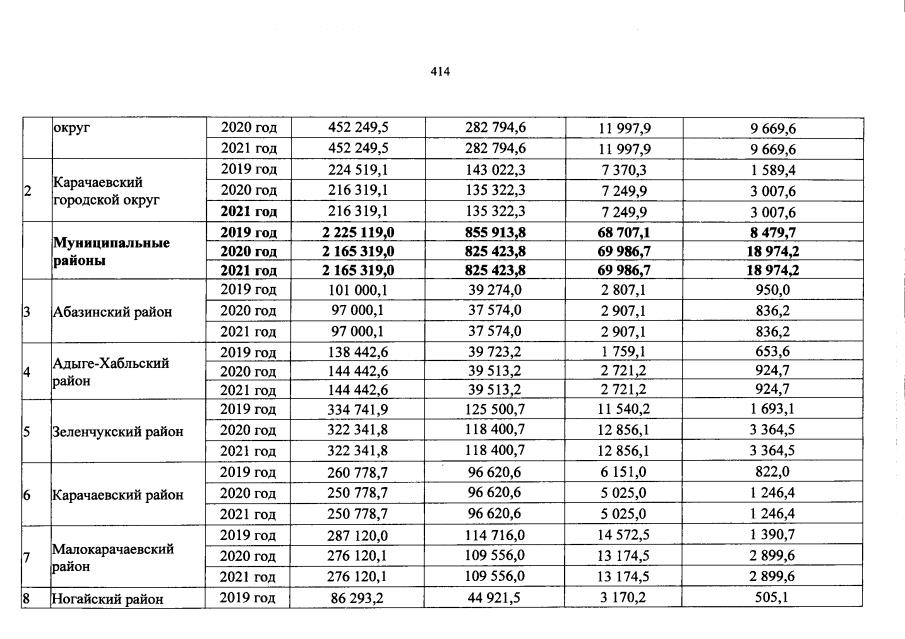
Закон Карачаево-Черкесской Республики от 29.11.2019 № 59-РЗ
"О внесении изменений в Закон Карачаево-Черкесской Республики "О республиканском бюджете Карачаево-Черкесской Республики на 2019 год и на плановый период 2020 и 2021 годов"
Номер опубликования: 0900201912040004
Дата опубликования: 04.12.2019
Страница №414 из 419:
Увеличить