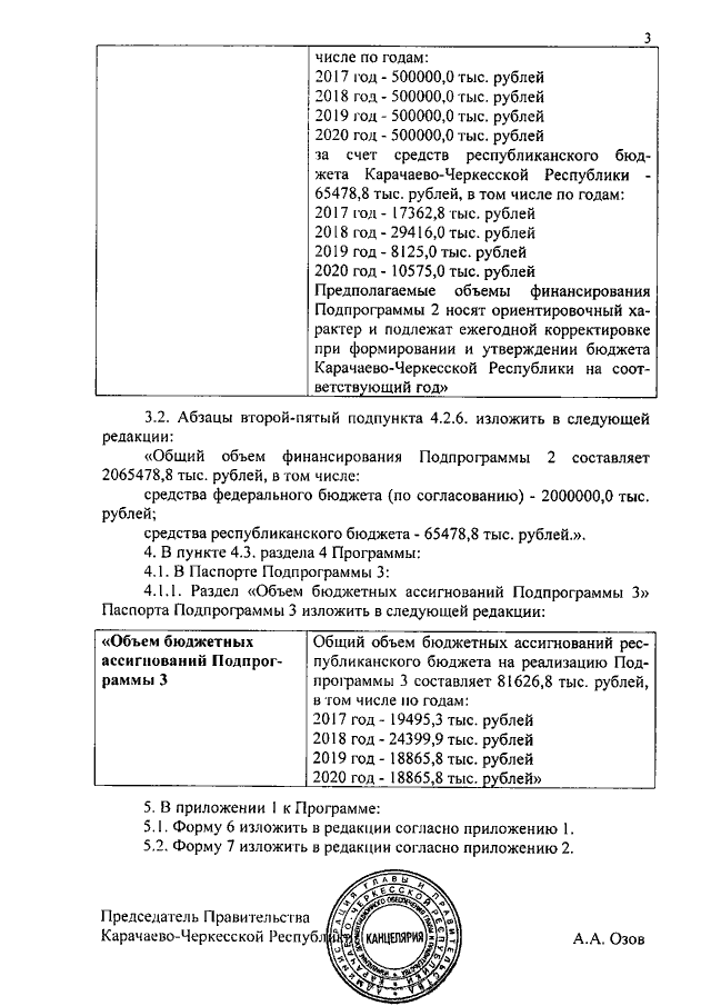
Постановление Правительства Карачаево-Черкесской Республики от 15.05.2018 № 130
"О внесении изменений в постановление Правительства Карачаево-Черкесской Республики от 09.02.2017 № 17 "О государственной программе "Стимулирование экономического развития Карачаево-Черкесской Республики на 2017-2020 годы"
"О внесении изменений в постановление Правительства Карачаево-Черкесской Республики от 09.02.2017 № 17 "О государственной программе "Стимулирование экономического развития Карачаево-Черкесской Республики на 2017-2020 годы"
Номер опубликования: 0900201805220002
Дата опубликования:
22.05.2018
