Официальное опубликование правовых актов
ОФИЦИАЛЬНОЕ ОПУБЛИКОВАНИЕ
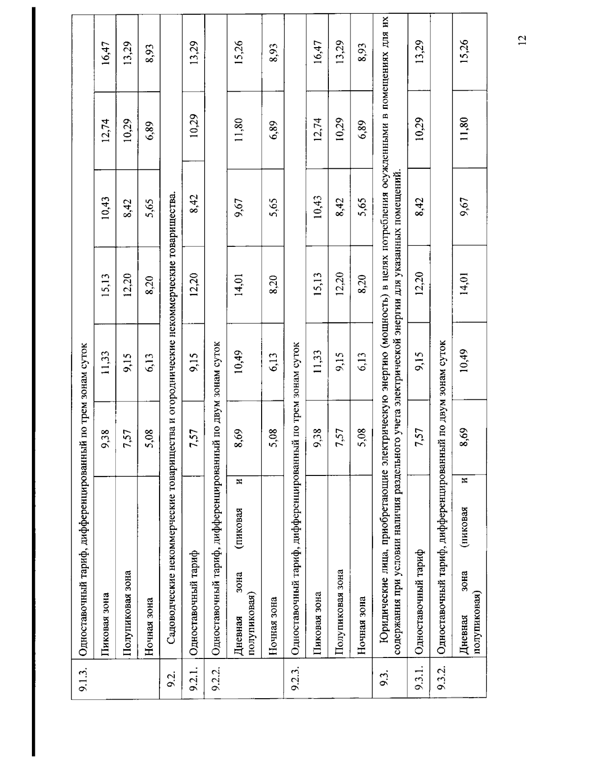
Приказ Региональной службы по тарифам Республики Калмыкия от 26.12.2025 № 98-п/э
"Об утверждении цен (тарифов) на электрическую энергию для населения и приравненных к нему категорий потребителей по Республике Калмыкия на 2026 год"
(Зарегистрирован 26.12.2025 № 25019268)
Номер опубликования: 0801202512300005
Дата опубликования: 30.12.2025
Страница №12 из 32:
Увеличить