Официальное опубликование правовых актов
ОФИЦИАЛЬНОЕ ОПУБЛИКОВАНИЕ
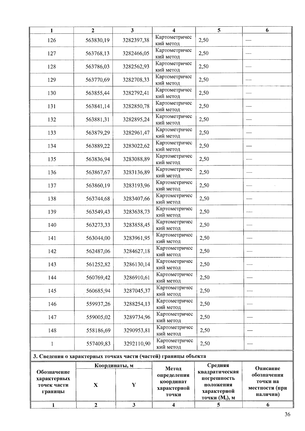
Постановление Правительства Республики Калмыкия от 29.09.2025 № 265
"Об утверждении Положения о природном парке Республики Калмыкия"
Номер опубликования: 0800202510030002
Дата опубликования: 03.10.2025
Страница №36 из 55:
Увеличить