Официальное опубликование правовых актов
ОФИЦИАЛЬНОЕ ОПУБЛИКОВАНИЕ
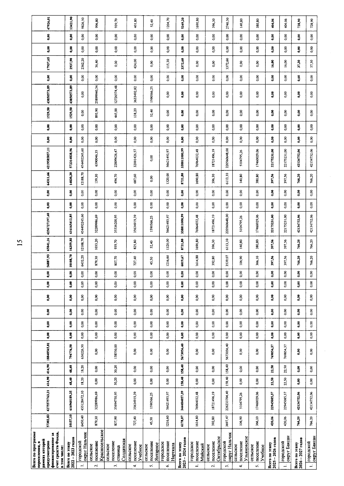
Постановление Правительства Кабардино-Балкарской Республики от 30.03.2026 № 43-ПП
"О внесении изменений в республиканскую адресную программу "Переселение граждан из аварийного жилищного фонда на территории Кабардино-Балкарской Республики в 2022-2030 годах"
Номер опубликования: 0700202604020005
Дата опубликования: 02.04.2026
Страница №16 из 23:
Увеличить