Официальное опубликование правовых актов
ОФИЦИАЛЬНОЕ ОПУБЛИКОВАНИЕ
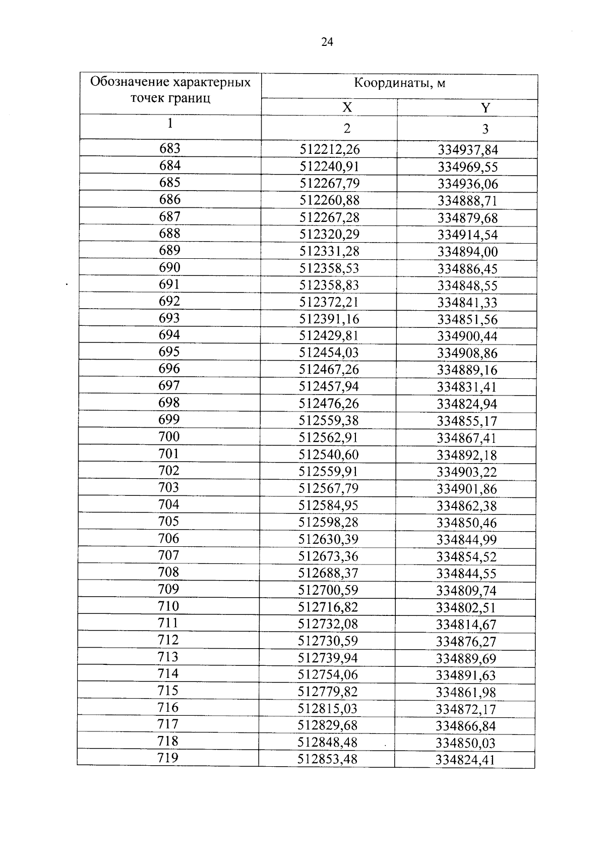
Постановление Правительства Кабардино-Балкарской Республики от 21.11.2025 № 192-ПП
"О внесении изменений в Положение о государственном природном заказнике Кабардино-Балкарской Республики "Верхне-Курпский"
Номер опубликования: 0700202511250004
Дата опубликования: 25.11.2025
Страница №25 из 38:
Увеличить