Официальное опубликование правовых актов
ОФИЦИАЛЬНОЕ ОПУБЛИКОВАНИЕ
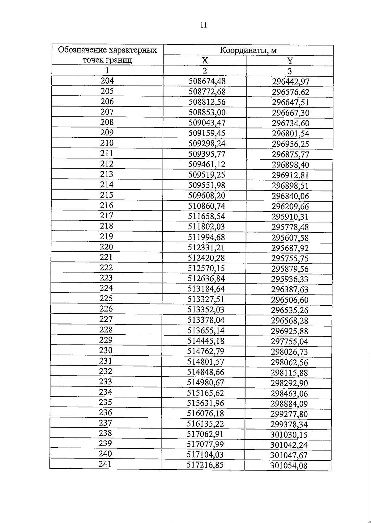
Постановление Правительства Кабардино-Балкарской Республики от 15.09.2025 № 151-ПП
"О внесении изменений в Положение о государственном природном заказнике Кабардино-Балкарской Республики "Терско-Александровский"
Номер опубликования: 0700202509180001
Дата опубликования: 18.09.2025
Страница №12 из 15:
Увеличить