Официальное опубликование правовых актов
ОФИЦИАЛЬНОЕ ОПУБЛИКОВАНИЕ
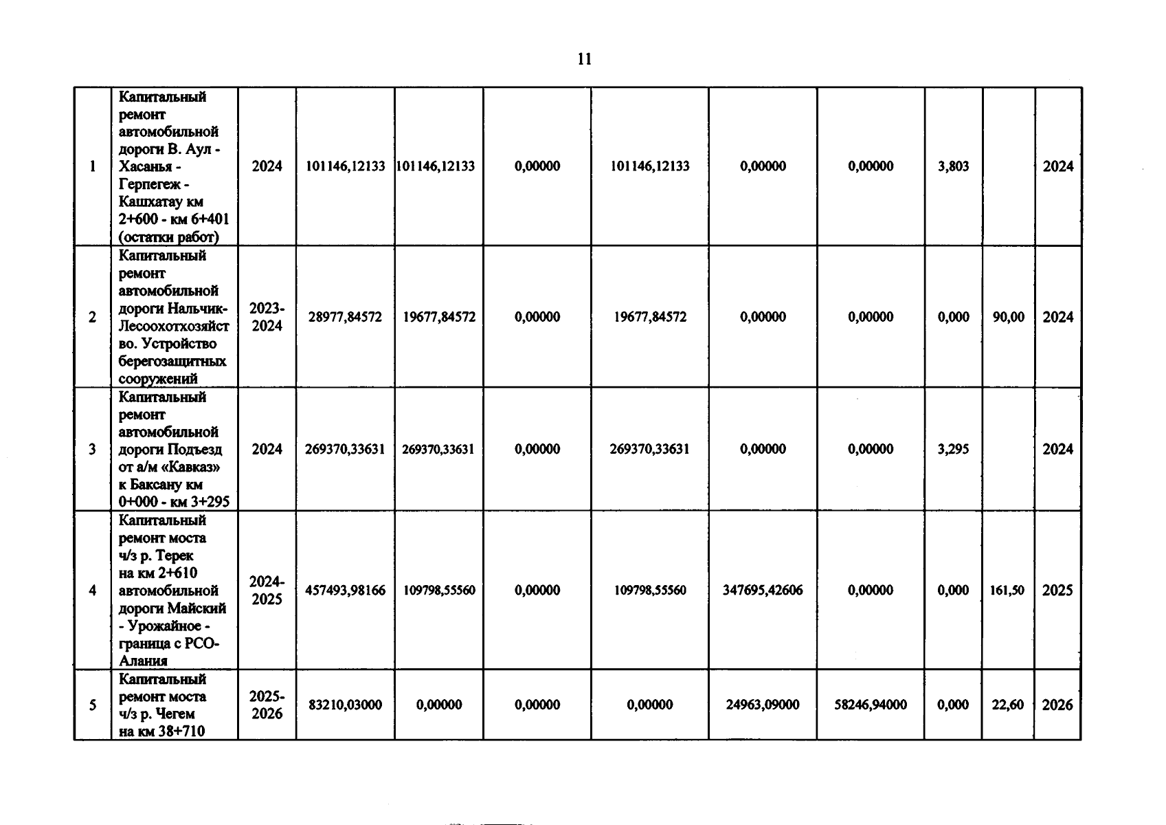
Постановление Правительства Кабардино-Балкарской Республики от 15.11.2024 № 176-ПП
"О внесении изменений в постановление Правительства Кабардино-Балкарской Республики от 22 января 2024 г. № 3-ПП"
Номер опубликования: 0700202411200001
Дата опубликования: 20.11.2024
Страница №12 из 24:
Увеличить