Официальное опубликование правовых актов
ОФИЦИАЛЬНОЕ ОПУБЛИКОВАНИЕ
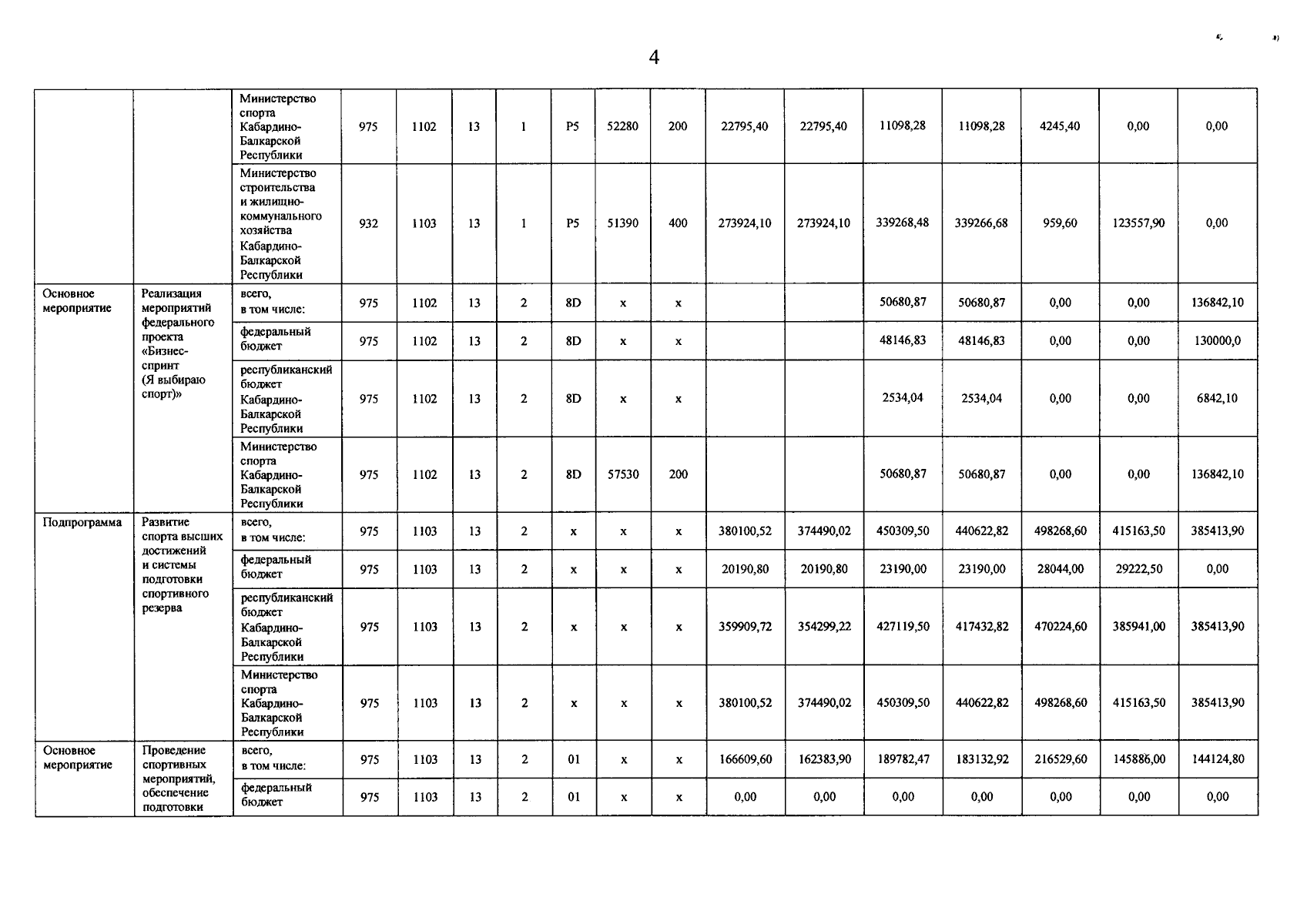
Постановление Правительства Кабардино-Балкарской Республики от 20.11.2023 № 242-ПП
"О внесении изменений в приложение № 4 к государственной программе Кабардино-Балкарской Республики "Развитие физической культуры и спорта в Кабардино-Балкарской Республике"
Номер опубликования: 0700202311230001
Дата опубликования: 23.11.2023
Страница №5 из 10:
Увеличить