Официальное опубликование правовых актов
ОФИЦИАЛЬНОЕ ОПУБЛИКОВАНИЕ
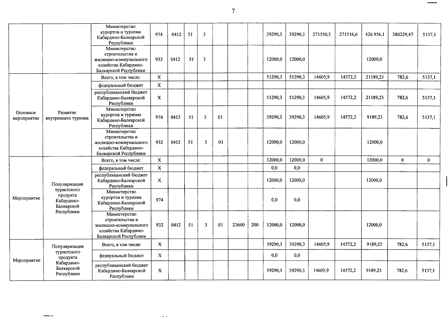
Постановление Правительства Кабардино-Балкарской Республики от 15.11.2023 № 238-ПП
"О внесении изменений в государственную программу Кабардино-Балкарской Республики "Развитие туристско-рекреационного комплекса Кабардино-Балкарской Республики"
Номер опубликования: 0700202311180002
Дата опубликования: 18.11.2023
Страница №8 из 16:
Увеличить