Официальное опубликование правовых актов
ОФИЦИАЛЬНОЕ ОПУБЛИКОВАНИЕ
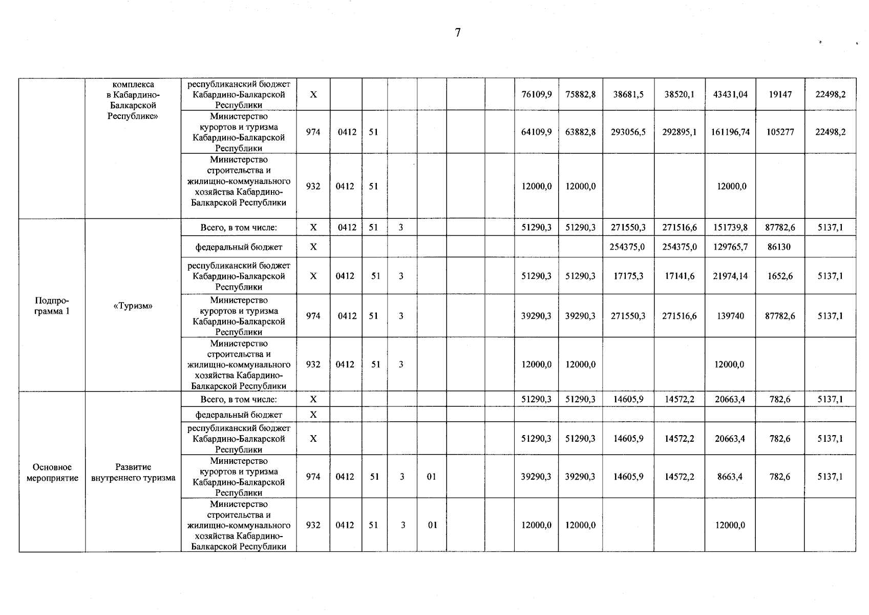
Постановление Правительства Кабардино-Балкарской Республики от 28.08.2023 № 174-ПП
"О внесении изменений в государственную программу Кабардино-Балкарской Республики "Развитие туристско-рекреационного комплекса Кабардино-Балкарской Республики"
Номер опубликования: 0700202309010005
Дата опубликования: 01.09.2023
Страница №8 из 16:
Увеличить