Официальное опубликование правовых актов
ОФИЦИАЛЬНОЕ ОПУБЛИКОВАНИЕ
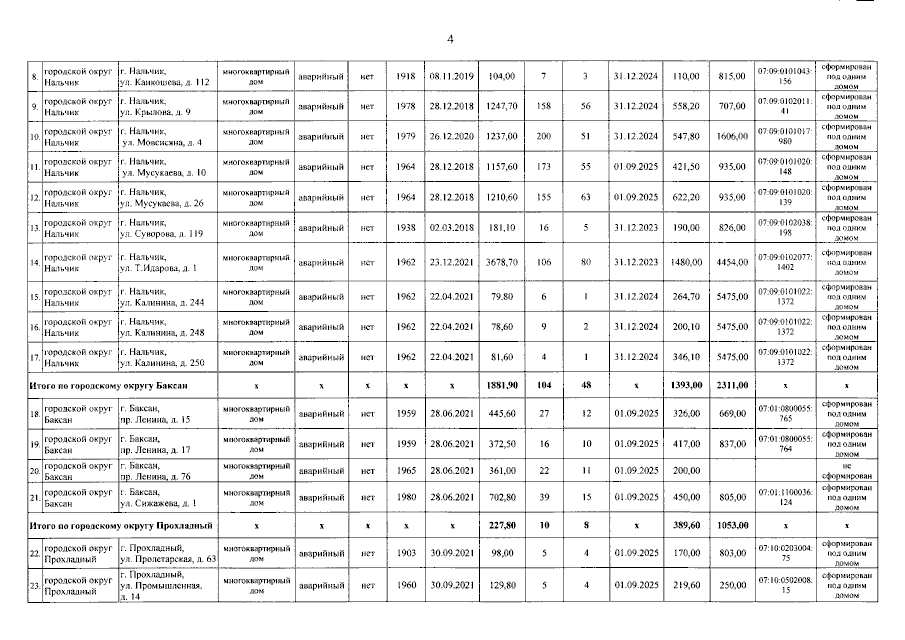
Постановление Правительства Кабардино-Балкарской Республики от 20.06.2023 № 119-ПП
"О внесении изменений в республиканскую адресную программу "Переселение граждан из аварийного жилищного фонда на территории Кабардино-Балкарской Республики в 2022 — 2025 годах"
Номер опубликования: 0700202306270004
Дата опубликования: 27.06.2023
Страница №5 из 14:
Увеличить