Официальное опубликование правовых актов
ОФИЦИАЛЬНОЕ ОПУБЛИКОВАНИЕ
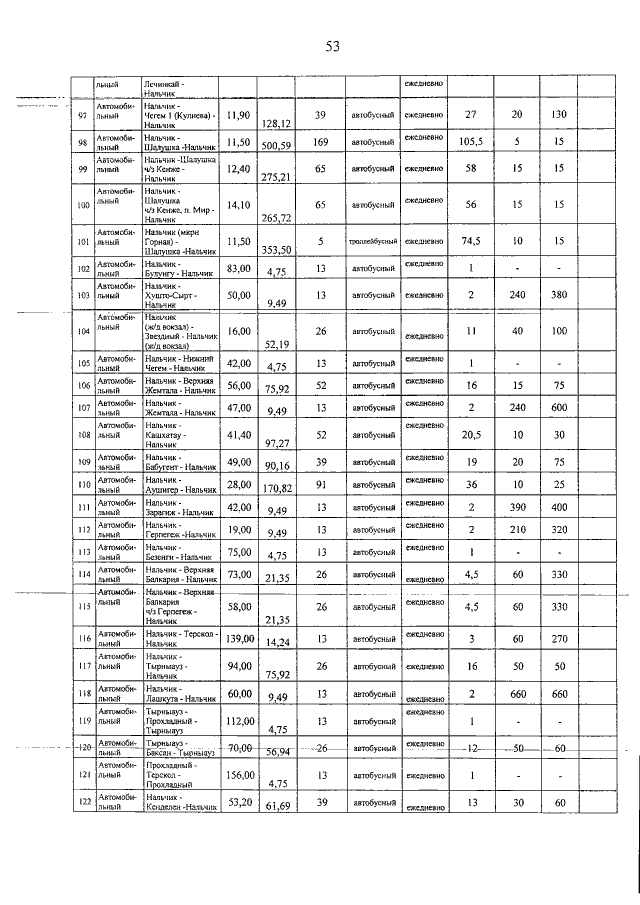
Постановление Правительства Кабардино-Балкарской Республики от 18.05.2021 № 108-ПП
"О комплексном плане транспортного обслуживания населения Кабардино-Балкарской Республики на средне- и долгосрочную перспективу (до 2030 года) в части пригородных пассажирских перевозок"
Номер опубликования: 0700202105210001
Дата опубликования: 21.05.2021
Страница №55 из 62:
Увеличить