Официальное опубликование правовых актов
ОФИЦИАЛЬНОЕ ОПУБЛИКОВАНИЕ
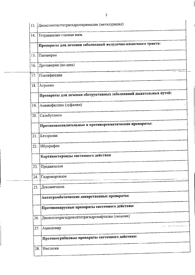
Постановление Правительства Кабардино-Балкарской Республики от 25.12.2020 № 303-ПП
"О Программе государственных гарантий бесплатного оказания гражданам медицинской помощи в Кабардино-Балкарской Республике на 2021 год и на плановый период 2022 и 2023 годов"
Номер опубликования: 0700202012300002
Дата опубликования: 30.12.2020
Страница №211 из 235:
Увеличить