Официальное опубликование правовых актов
ОФИЦИАЛЬНОЕ ОПУБЛИКОВАНИЕ
Постановление Правительства Кабардино-Балкарской Республики от 17.08.2020 № 177-ПП
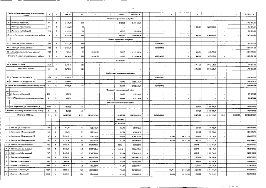
"О внесении изменений в краткосрочный план реализации в 2020-2022 годах республиканской программы "Проведение капитального ремонта общего имущества многоквартирных домов в Кабардино-Балкарской Республике в 2014-2043 годах"
Номер опубликования: 0700202008240001
Дата опубликования: 24.08.2020
Страница №5 из 11:
Увеличить